Introducción
Existen considerables diferencias entre la actividad hematopoyética observada en las diferentes edades de la vida1. Una pregunta fundamental es si esas diferencias forman parte de un proceso continuo o si los cambios ocurren por etapas en la capacidad proliferativa de las células eritropoyéticas normales que disminuye con la edad2. El hierro es un micronutriente esencial para la producción eritrocitaria, toda vez que se incorpora para la síntesis de la hemoglobina, mioglobina o la actividad mitocondrial3. De tal suerte que existe una estrecha relación entre los cambios en la cinética del hierro corporal y los valores de hemoglobina y hematocrito a lo largo de la vida del ser humano1.
La reserva de hierro y los valores de hemoglobina, hematocrito y el resto de índices eritrocitarios obtenidos al nacimiento están determinados por el efecto combinado de diversas variables, algunas de ellas exclusivas del período perinatal. Esas variables incluyen la edad gestacional4, volumen de transfusión placentaria derivado del manejo que se otorga a los vasos umbilicales5 o la vía de nacimiento. Así como de las variables comunes a estas pruebas como el sitio de la toma de la muestra, arterial, venosa o capilar6,7, tipo de anticoagulante empleado (sólido o líquido) y las técnicas analíticas de laboratorio (recuento manual, microhematocrito o contador electrónico). Otras más no tienen efecto clínico significativo al nacimiento, como es el caso de la altura sobre el nivel del mar3 o la edad materna1.
En particular, la reserva fetal de hierro, valorada mediante ferritina sérica se acumula principalmente en el último trimestre del embarazo y las concentraciones de hierro materno influyen directamente en el estado de la reserva al nacimiento1,8. Cuando en la gestante se encuentran valores muy disminuidos de ferritina sérica, se espera que el recién nacido tenga también concentraciones más bajas de ferritina sérica9 y solamente en situaciones extremas de anemia materna podrán verse afectadas las concentraciones de hemoglobina neonatal10-12, hecho que le otorga importancia central a la suplementación con hierro durante el embarazo13. Hay evidencias consistentes en señalar la importancia de la reserva corporal de hierro al nacimiento, en un continuo sobre las variaciones de la misma hacia el segundo mes de edad14,15 y pudiera ser variable determinante en el desarrollo de la deficiencia de hierro del lactante16. Así se ha propuesto efectuar el estudio de los valores de hemoglobina y ferritina sérica a los 2 meses de edad, como una prueba de tamizaje para detectar a los lactantes en riesgo de desarrollar a los 6-8 meses de edad deficiencia de hierro con o sin anemia14-16.
Durante las primeras semanas de vida, las concentraciones de ferritina sérica, experimentan cambios significativos, observándose al menos dos comportamientos distintos en las primeras semanas de vida17. Algunos recién nacidos mostrarán mínimas variaciones en las concentraciones de ferritina sérica, mientras que otro grupo, especialmente aquellos con concentraciones de ferritina sérica al nacimiento superiores a 300 μg/l presentarán un descenso paulatino en las concentraciones de la reserva corporal de hierro18. Aunque existen en la literatura médica diversas comunicaciones sobre los valores de los índices eritrocitarios en recién nacidos sanos considerando las variables maternas o neonatales como edad gestacional4, peso o complicaciones relacionadas al nacimiento18 o suplementación con micronutrientes12,13. No existe información disponible que considere las diferencias en los índices eritrocitarios, de acuerdo con los cambios habituales en la ferritina sérica durante las primeras semanas de vida extrauterina, lo que constituye el objetivo de la presente comunicación.
Material y métodos
Mediante un modelo de estudio prospectivo, descriptivo, longitudinal, se creó una cohorte de recién nacidos para evaluar los cambios en la reserva de hierro en los primeros 12 meses de vida. Todos ellos provienen de embarazos no complicados, con nacimiento entre las 38 y 41,6 semanas de gestación, con una relación peso/talla adecuada para la edad gestacional, sin malformaciones estructurales mayores, ni enfermedad perinatal agregada que modificara su bajo riesgo al nacimiento. En todos los casos, sin considerar la vía de nacimiento, se estableció el tiempo de pinzado de cordón umbilical en 20 s.
Para fines de la presente comunicación, al nacimiento, se recogieron 1.000 μl de sangre total mediante punción en el extremo placentario de la vena umbilical y posteriormente al mes y a los 2 meses de edad, mediante punción en vena periférica. Las muestras de sangre se depositaron en tubos de polipropileno con EDTAK3 para la realización de la citometría hemática y en otro tubo de polipropileno sin anticoagulante para la determinación de ferritina sérica.
Los índices eritrocitarios fueron procesados por duplicado en un equipo automatizado de marca comercial, con el principio del recuento electrónico de partículas (ABX MICROS 60-OT), y se recogen los valores de hemoglobina (g/dl), hematocrito (%), volumen globular medio (VGM en fl), concentración media de hemoglobina (CMH en pg), concentración media de hemoglobina corpuscular (CMHC en g/dl) y amplitud de distribución eritrocitaria (ADE en %).
Para la determinación de la ferritina sérica, el suero se separó por centrifugación y se almacenó a 70 °C, hasta que se analizaron simultáneamente todas las muestras. La cuantificación de ferritina sérica se realizó en determinaciones por duplicado, mediante la técnica de micro-inmunoanálisis ligado a enzimas (micro-ELISA) de doble anticuerpo, empleando un anticuerpo monoclonal antihumano, que reacciona contra las isoferritinas (ácidas y básicas) y contiene anticuerpos policlonales contra ferritina de placenta. Se construyó la curva de calibración, empleando estándares de 2, 10, 50, 200 y 800 μg/l, así como las muestras controles, que se ajustaron a los criterios de validación con coeficiente de variación intra/interprueba inferior al 5 %.
El protocolo fue aprobado por los Comités de Investigación y de Bioética del Instituto. Se obtuvo el consentimiento informado de los padres de los participantes para poder ser incluidos en el estudio, debido al riesgo que representó la recogida de sangre por punción venosa.
Se registró el tipo de alimentación láctea que recibió el lactante, pudiendo ser con leche materna exclusiva, con sucedáneos de la leche materna conteniendo hierro (8 mg/l) o lactancia mixta. Se eliminaron los casos en que no completaron las tres tomas de muestras de sangre o aquellos casos con ferritina sérica inferior a 100 μg/l al nacimiento. Se consideraron valores bajos de hemoglobina con punto de corte inferiores a 11 g/dl, al segundo mes de edad14. Al final del estudio, se estableció la diferencia entre los valores de ferritina sérica al nacimiento restando los valores obtenidos a los 2 meses de edad, conformándose el grupo I con recién nacidos que no mostraron variaciones en los valores de ferritina sérica y el grupo II con aquellos recién nacidos que disminuyeron las concentraciones de ferritina sérica entre el nacimiento y los 2 meses de edad. Se definió la reserva corporal de hierro baja con valores de ferritina sérica a los 2 meses iguales o inferiores a 164 μg/l14. Se estableció el resultado de la diferencia entre los valores de hemoglobina y la ferritina sérica en las edades de corte comparadas con el resultado anterior y el del nacimiento.
El tamaño muestral se consideró de acuerdo al número mínimo de casos necesarios para modelos de análisis de regresión19, que considera de 63 a 88 casos entre el nacimiento y el primer mes, así como el primero y segundo mes de vida, respectivamente. Mediante la prueba de Kolmogorov-Smirnov, se estableció la distribución libre de los valores obtenidos, por lo que se presentan los resultados de la mediana y cuartil 25-75 para cada variable analizado en los cortes del nacimiento, uno y 2 meses de edad. Se aplicó la diferencia de medias para dos muestras independientes (Mann-Whitney), para evaluar las diferencias de las variables a cada edad de corte. Se aplicó el análisis de varianza de una vía para establecer las diferencias entre las edades de corte, así como entre los lactantes con reserva normal o deficiente de hierro a los 2 meses de edad con cada una de las variables. El nivel de significancia se estableció como inferior a 0,05.
Resultados
Se incluyeron desde el nacimiento a 156 neonatos, 46 casos (29,5 %) abandonaron el estudio, en 18 casos por negativa de los padres a continuar en el estudio y en 10 casos sin razón aparente no acudieron al seguimiento y 18 más por tener valores bajos de hemoglobina al nacer. Los casos excluidos no mostraron diferencias estadísticamente significativas con respecto a los resultados de somatometría al nacimiento cuando fueron comparados con el resto del grupo.
Los 110 neonatos que completaron el estudio se distribuyeron en grupo I (sin cambios en la ferritina sérica) con 46 casos (proporción 0,42) y grupo II (con pérdida de ferritina sérica) en 64 casos (proporción, 0,58). No se observaron diferencias estadísticamente significativas en la distribución de la edad materna, género o casos con lactancia materna exclusiva. La distribución de mediana y cuartiles al nacer, primero y segundo mes de edad, en las variables de peso corporal y longitud supina, no mostraron diferencias estadísticamente significativas, al igual que los valores de velocidad de crecimiento en peso y longitud supina, así como en la ganancia porcentual de ambas variables con respecto del nacimiento. Se observó diferencia apenas significativa en la ganancia de peso entre el nacimiento y los 2 meses de edad a favor del grupo II (56 % frente al 64 %; p = 0,042) (tabla 1).
En la comparación de las variables hematológicas entre ambas grupos, no se observaron diferencias estadísticas en la mediana de los valores de la cuenta de eritrocitos al nacimiento, al primer y segundo mes de edad (5.290 frente a 5.335; 4.170 frente a 4.170; y 3.821 frente a 3.665 * 106, para el grupo I y grupo II, respectivamente), así como en las concentraciones de hemoglobina (19,1 frente a 19,6; 13,9 frente a 14,1, y 11,8 g/dl frente a 11,5 g/dl), hematocrito (55,9 frente a 57,3; 41,2 frente a 41,5, y 35,1 frente a 33,6 %), volumen globular medio (106,2 frente a 107,1; 98,0 frente a 98,7, y 92,6 fl frente a 92,1 fl), concentración media de hemoglobina (36,0 frente a 36,7; 33,5 frente a 33,9, y 31,4 pg frente a 31,3 pg), concentración media de hemoglobina corpuscular (33,7 frente a 33,7; 34,1 frente a 34,2, y 34,0 g/dl frente a 33,7 g/dl) y amplitud de distribución eritrocitaria (17,3 frente a 17,7; 15,2 frente a 15,5, y 13,6 % frente a 13,7 %, para cada grupo de estudio) en las edades de corte (tabla 2).
El descenso de los valores de hemoglobina respecto al nacimiento fue similar entre ambos grupos al mes de edad (5,2 g/dl frente a 5,5 g/dl), pero resultó mayor entre el nacimiento y los 2 meses de edad, para el grupo II (6,5 g/dl frente a 8,0 g/dl; p < 0,001). Sin embargo, a los 2 meses de edad, no hay diferencia estadísticamente significativa en términos de proporción de casos con anemia (0,30 frente a 0,36, para grupo I y II, respectivamente). Respecto a la ferritina sérica, a partir de la diferencia de valores que caracterizó a cada grupo de estudios hacia los 2 meses de edad, las concentraciones de ferritina sérica disminuyeron a valores más bajos en el grupo II que en el grupo I (mediana de 215 μg/l frente a 194 μg/l, p < 0,001). Así la proporción de casos con reserva baja de hierro (ferritina sérica ≤ 164 μg/l), fue menor en el grupo I, respecto al grupo II (proporción de 0,15 frente a 0,37; p < 0,01). Es decir, los neonatos que presentan descenso en sus valores de ferritina sérica, tendrán mayor probabilidad de tener una reserva baja de hierro hacia los 2 meses de edad (riesgo relativo [RR]: 2,464; intervalo de confianza del 95 % [IC 95 %]: 1,162-5,227) (tabla 3).
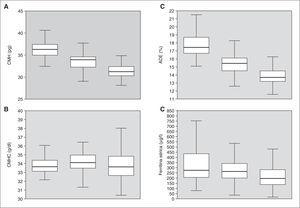
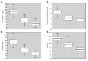
Al no haber diferencias a los 2 meses de edad de los valores de los índices eritrocitarios, se decidió presentar los valores de toda la muestra (tabla 4). La mediana de las concentraciones de hemoglobina disminuye de 19,4, 14,0 y 11,5 g/dl. El volumen globular medio disminuye paulatinamente sus valores de 106,9, 98,4 y 92,3 fl. Los resultados de la amplitud de distribución eritrocitaria presentan una mediana de valores de 17,4, 15,4 y 13,7 % al nacimiento, primero y segundo mes de edad. Situación similar ocurre con los valores de la cuenta de eritrocitos y hematocrito. Respecto a la concentración media de hemoglobina corpuscular, aunque existe mayor dispersión de sus resultados, no hay mayor diferencia en la mediana de los valores obtenidos (32,5, 33,9 y 31,3 g/dl). La ferritina sérica en toda la muestra presentó la disminución paulatina de sus valores de 286, 270 y 207 μg/l durante las fechas de evaluación (figs. 1 y 2).
Figura 1. Distribución de los valores de recuento deA)hemoglobina,B)hematocrito,C)eritrocitos yD)volumen globular medio (VGM) al nacimiento, primero y segundo mes de vida.
Figura 2. Distribución de los valores de recuento deA)concentración media de hemoglobina (CMH),B) concentración media de hemoglobina corpuscular (CMHC), C)amplitud de distribución eritrocitaria (ADE) yD)ferritina sérica en recién nacidos al nacimiento, primero y segundo mes de vida.
Discusión
Las diferencias en los valores de hemoglobina y resto de índices eritrocitarios encontradas en recién nacidos, dependen de diversas variables preanalíticas, como la edad gestacional4 o el volumen de transfusión placentaria5, así como de variables analíticas6,7, que son determinantes en la comparación de los resultados de los índices eritrocitarios (tipo de anticoagulante empleado o técnica de laboratorio). El efecto de estas variables podría explicar las diferencias observadas en la presente comunicación en los valores promedio de hemoglobina al nacer (19,4 g/dl), que son distintos a los señalados por Romero en Guadalajara20, con 17,5 g/dl y por Mejía en la Ciudad de Toluca21 con valores promedio de 19,1 g/dl.
Los cambios de la hemoglobina con disminución de 1,0 a 1,4 g/dl por semana en el primer mes y de 0,3 a 0,6 g/dl por semana entre el primer y segundo mes de edad, coinciden con lo comunicado previamente14,17 y representan la adaptación funcional del lactante en las primeras semanas de vida y de ninguna manera se traducen como un estado anémico. Esto es una condición fisiológica excepcional en el ser humano, la asociación paradójica de bajas concentraciones de hemoglobina con la más baja concentración de eritropoyetina sérica en los primeros 2 meses de edad11.
Un resultado interesante de nuestro estudio es demostrar que a diferencia de otras edades de la vida los valores de los índices eritrocitarios no son dependientes de las concentraciones de hierro corporal1. El paso transplacentario de hierro es un mecanismo de alta eficiencia, que garantiza el aporte suficiente de hierro al feto1,13. Existe un comportamiento logarítmico entre la reserva de hierro materna y las concentraciones de ferritina sérica; así, en condiciones extremas de ferropenia materna, puede estar afectado significativamente este mecanismo22, hecho que puede modificarse con la suplementación materna con hierro23. Las variables que influyen sobre el estado de la reserva de hierro neonatal son la edad gestacional4, la condición de la reserva de hierro materna22,23 y el aporte dependiente de la transfusión placentaria24.
Tanto los valores de hemoglobina como la reserva corporal de hierro, están estrechamente relacionados a la transfusión placentaria5,22. El tiempo de pinzado tardío del cordón umbilical (> 60 s) favorece el mayor volumen sanguíneo eritrocitario del neonato (42,1 ± 7,8 ml/kg de peso) al compararse entre el pinzado inmediato (36,8 ml/kg), diferencia que no es identificada claramente por la determinación del hematocrito5. La masa eritrocitaria transfundida aportará eritrocitos y a su vez una carga adicional de hierro (en forma de ferritina sérica) al neonato, ya que en las primeras semanas de vida extrauterina se acumula el hierro unido a proteínas, en su fracción no tóxica16, debido a que la eritropoyesis disminuye sustancialmente. Así el hierro liberado a partir de la hemólisis de células envejecidas, al no tener mayor demanda de reutilización para el ciclo eritropoyético, se debiera acumular24, por lo que resulta excepcional el observar deficiencia de hierro a esta edad. Hay una relación directamente proporcional entre los valores de ferritina sérica en muestras de cordón umbilical y los observados a estas edades15. El retraso en el tiempo de pinzado de cordón umbilical y la mayor transfusión placentaria resultarían en una maniobra de mayor importancia en la prevención de la deficiencia de hierro en el lactante15,24. Aunque no hay consenso para definir los valores normales de la reserva neonatal de hierro23, ni la relación entre concentración de ferritina sérica y cambios funcionales12,25; los resultados comparativos señalan gran divergencia entre las poblaciones estudiadas. Los valores de ferritina sérica en muestras al nacimiento varían desde 128 μg/ml7,16 hasta 337 μg/ml en este estudio.
A partir de los 2 meses de edad, existen claras diferencias en los valores de ferritina sérica entre aquellos lactantes que tienen mayor probabilidad de desarrollar deficiencia de hierro del lactante15,18. Este valor crítico se ha estimado en 164 μg/l a los 2 meses de edad14. Como es claro, esto valores no son los mismos que se emplean para otras edades26, lo que señala que los criterios debieran ser diferentes dependiendo de la edad del lactante3,26. Este concepto propone la hipótesis que aquellos lactantes a los 2 meses de edad con ferritina sérica menor a 164 μg/l, tendrán dificultades para tolerar los cambios fisiológicos del primer año de la vida (velocidad de crecimiento, edad de ablactación, altura sobre el nivel del mar, dependencia del hierro de la dieta y patrón sociocultural de alimentación) lo que resultará en la aparición de anemia por deficiencia de hierro15 y sus consecuencias en el neurodesarrollo posterior27.
Resulta interesante señalar que el tipo de alimentación láctea (materna o sucedáneos de la leche materna o mixta) empleado en las primeras 8-12 semanas de edad, muestran efectos significativos en los valores de hemoglobina y ferritina sérica28. Este hecho apoya el concepto de evitar suplementar o fortificar con hierro a todos los lactantes menores de 2 meses de edad28, cuando ocurren adaptaciones normales en la coordinación precisa de regulación de la absorción y reserva de hierro29, dando el beneficio de la alimentación con leche materna exclusiva sin efecto adverso en los valores de ferritina sérica18.
En conclusión, se documentaron los siguientes hechos relevantes: a) los valores de hemoglobina al nacer no muestran relación alguna con el estado de la reserva neonatal de hierro; b) la reserva de hierro a los 2 meses de edad depende de los valores de ferritina sérica al nacimiento, y c) la disminución de las concentraciones de hemoglobina y ferritina sérica forman parte de una adaptación fisiológica en los primeros meses de vida. El comportamiento de estas variables debe considerarse al evaluar los efectos de las intervenciones para la prevención de la deficiencia de hierro en la lactancia.








