Introducción
Un adecuado patrón de crecimiento en los primeros años de vida es fundamental para garantizar un adecuado desarrollo neurosensorial, en este período crítico del crecimiento cerebral1. Esto adquiere una dimensión especial en recién nacidos de muy bajo peso (RNMBP) natal (< 1.500 g), que presentan una menor velocidad de crecimiento posnatal en peso y longitud, y en menor medida del perímetro craneal2. Tanto como el peso natal, la edad gestacional y la presencia o no de un adecuado crecimiento intrauterino son importantes factores predictivos de la supervivencia neonatal3. Además, los niños cuyo crecimiento posnatal se aleja de la normalidad, están expuestos a una mayor morbilidad en su desarrollo4. Todo ello plantea un adecuado manejo nutricional antes y después del alta.
En los últimos años ha aumentado la supervivencia de los RNMBP, especialmente los de menos de 1.000 g5, cuyo crecimiento posnatal está aún más comprometido que en los de mayor peso. Recién nacidos pretérmino de bajo peso para la edad gestacional (BPG), a los 2 años de edad posnatal corregida siguen presentando un peso inferior a aquellos cuyo peso es apropiado para la edad gestacional (PAG), con un mayor porcentaje de valores por debajo del percentil 36.
Por otra parte, el retraso de crecimiento posnatal en talla adquiere ahora más importancia, debido a la reciente aprobación del uso de la hormona del crecimiento para tratar niños nacidos prematuramente, cuya talla a los 4 años de edad posnatal corregida persiste por debajo de 2 desviaciones estándar (DE).
Además, cada vez es más aparente que los RNMBP presentan un mayor riesgo en la edad adulta de padecer alteraciones cardiovasculares (hipertensión, arteriosclerosis) y endocrinológicas (obesidad y diabetes)7. La llamada hipótesis de Barker8 parece pues confirmarse. Sin embargo, queda por resolver si el riesgo está directamente relacionado con el hipocrecimiento prenatal, o con un sobrecrecimiento posnatal9.
El objetivo de este estudio es doble. Por una parte, pretende conocer la frecuencia relativa de los retrasos del crecimiento posnatal en nuestra población de RNMBP, así como la influencia del patrón de crecimiento intrauterino en el crecimiento posnatal.
Pacientes y métodos
Diseño
Estudio observacional de seguimiento de una cohorte de 260 RNMBP asistidos en nuestra unidad neonatal, durante un período de 6 años, comprendido entre el 1 enero de 1994 y el 31 de diciembre de 1999.
Recogida de datos
De la base de datos de la unidad, que incluye a todos los niños atendidos, se seleccionaron los registros de los neonatos que pesaron menos de 1.500 g al nacer. Los datos habían sido introducidos de modo prospectivo por los propios médicos del servicio, siendo objeto de un proceso sistemático de edición y validación.
Datos evaluados
En este estudio se analizan los datos somatométricos al nacer y a los 2 años de edad corregida, evaluándose las siguientes variables: edad gestacional, sexo, fecha natal, al alta y de la revisión; así como peso (P), longitud (L) y perímetro craneal (PC) al nacer y a los 2 años de edad corregida, calculada como la edad cronológica menos la diferencia de restar a 40 la edad gestacional en semanas. Se valoró, además, el peso al alta y otras variables estándares perinatales.
Programa de seguimiento
El programa se implantó en 1994, con visitas al mes, 3, 12, 18 y 24 meses de edad posnatal corregida. Los pacientes fueron revisados por los mismos neonatólogos que los asistieron en el período neonatal. Los pacientes trasladados al alta al hospital de Txagorritxu, donde nacieron, fueron evaluados por los neonatólogos de aquel servicio; aplicando el mismo protocolo. Además del crecimiento, en cada consulta se evaluó la función neurosensorial, lenguaje, y el test de Denver10, con especial atención a la alimentación. Los datos del seguimiento neurosensorial serán motivo de otro trabajo.
Valoración del crecimiento prenatal y posnatal
Como estándares se utilizaron las curvas de crecimiento intrauterino de Delgado Beltrán et al11,12 y de crecimiento posnatal de Hernández et al13, desarrolladas específicamente para la población de nuestra zona. Se clasificaron como de BPG, todos los neonatos cuyo peso natal era inferior a 2 DE. Para estandarizar las mediciones, se calculó el índice Z, para cuantificar el grado de desviación de cada parámetro somático de su correspondiente media14 El índice Z se calculó restando al valor del parámetro medido, la media correspondiente, y luego dividiendo esta diferencia por la DE observada para el mismo grupo. Se calculó también el índice ponderal al nacer y a los 2 años edad posnatal corregida, como el valor del peso natal (g) entre la longitud (cm) elevada al cubo por 10015.
Método estadístico
Se realizó un análisis descriptivo de las variables categóricas con distribuciones de frecuencia, y de las cuantitativas con parámetros de tendencia central y dispersión. La comparación de variables entre grupos se realizó con las pruebas de la t de Student y la ji al cuadrado (x2), aceptando una p < 0,05 como significativa.
Resultados
Datos demográficos
Durante el período de estudio fueron dados de alta de la unidad neonatal un total de 277, de los que 17 fallecieron después del alta (6,1 %), y fueron excluidos del estudio. La cohorte estudiada fue de 260 RNMBP (126 niñas y 134 niños). La tabla 1 refleja los principales datos neonatales de la población estudiada, cuya edad gestacional y peso natal medios (DE) fueron de 29,8 (2,67) semanas (valores extremos de 23-37 semanas) y de 1.149 (224) g (540-1.490), respectivamente. El 29 % procedían de gestaciones gemelares y el 5,7 % de múltiples. El 18,5 % del total fueron de BPG. La estancia media fue de 73 días, siendo de 66 en los BPG y de 74 días en los de PAG.
Características perinatales
La tabla 2 muestra los datos demográficos neonatales para los grupos PAG y BPG. Se aprecian diferencia en la edad gestacional, con una media de 29 (23-35) semanas para el grupo de PAG y de 33,5 (28-37) semanas para los de BPG. En la figura 1 se representan todos los niños en función del peso y gestación, apreciándose que los de BPG se sitúan en el cuadrante superior derecho, correspondiente a una mayor gestación. Destacamos que se diagnosticó un síndrome de dificultad respiratoria en casi el 40 % del grupo de PAG y sólo en el 4 % de los BPG.
Figura 1. Relación entre peso y la edad gestacional para los grupos de peso apropiado (PAG) y bajo para la edad gestacional (PBG).
Características posnatales
La media de peso al alta de toda la cohorte fue de 2.713 (809) g. El incremento diario de peso fue superior en los BPG (27,7 g) que en los de PAG (21,1 g). El aumento de peso de los < 1.000 g a los 2 años de edad posnatal corregida fue menor que en los de mayor peso natal. El crecimiento posnatal está represando en la tabla 3 con las puntuaciones medias del índice Z.
A continuación se comenta detalladamente la evolución del crecimiento posnatal de cada una de las mediciones antropométricas analizadas:
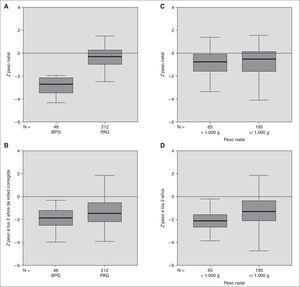
Evolución del peso. En la figura 2 y tabla 3 se aprecia que las diferencias del índice Z al nacer se igualan a los 2 años de edad posnatal corregida en ambos subgrupos. En comparación con la población general de nacidos a término, el peso a los 2 años de edad posnatal corregida se sitúa casi en 2 DE en los de BPG y de 1,34 DE en el de PAG. Entre los de BPG, en ningún caso el peso superó la media de la población general. A los 2 años de edad posnatal corregida, el 18,5 % de niños mantenía un peso inferior al tercer percentil (P3). El 36,9 % de niños de peso natal inferior a 1.000 g estaba por debajo del P3 a los 2 años frente al 12,3 % de los de mayor peso.
Figura 2. Índice Z del peso natal (DE) en los subgrupos BPG y PAG al nacer (A)y a los 2 años de edad(B)y en los de peso inferior(C)o superior (D)a 1.000 g.
Evolución de la longitud-talla. En la figura 3 y tabla 3 se aprecia que la diferencia del índice Z natal se iguala en ambos grupos a los 2 años de edad posnatal corregida. Comparándolo con la población general nacida a término, el peso a los 2 años de edad corregida, se sitúa en 1,87 DE en los BPG y en 1,40 DE en los de PAG. A los 2 años de edad posnatal corregida, el 14,2 % de los niños mantenían una talla por debajo del P3. El porcentaje de pacientes con una talla inferior al P3 a los 2 años fue el doble entre los de peso natal inferior a 1.000 g que en los de más peso.
Figura 3. Índice Z de la talla (DE) en los subgrupos BPG y PAG al nacer (A)y a los 2 años de edad(B)y en los de peso inferior(C)o superior (D)a 1.000 g.
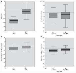
Evolución del perímetro cefálico. En la figura 4 y tabla 3 se observa que la diferencia al nacer del índice Z se iguala a los 2 años de edad posnatal corregida en ambos grupos. El PC fue el parámetro mejor conservado, por cuanto el índice Z a los 2 años de edad posnatal corregida se equiparó al de la población general de nacidos a término. A los 2 años de edad posnatal corregida sólo el 9,2 % mantuvieron un PC < P3, siendo la mayoría de ellos de BPG (tabla 3), siendo del 13,8 % en los de peso inferior a 1.000 g y del 7,7 % en los de mayor peso natal.
Figura 4. Índice Z del perímetro cefálico (DE) en los subgrupos BPG y PAG al nacer(A)y a los 2 años de edad(B)y en los de peso inferior (C)o superior (D)a 1.000 g.
Discusión
Este estudio describe la evolución del crecimiento posnatal hasta los 2 años de edad posnatal corregida en una cohorte de RNMBP asistidos en nuestro centro; mediante el análisis de la evolución de tres parámetros antropométricos clásicos: peso, longitud-talla y perímetro craneal. El estudio confirma que mientras que el PC a los 2 años fue comparable al de nacidos a término; la talla y sobre todo, el peso mostraban un notable retraso del crecimiento posnatal, que fue más manifiesto en los que tuvieron un peso natal inferior a 1.000 g. En resumen, se confirma que el fracaso del crecimiento posnatal en RNMBP, como se ha afirmado recientemente, parece inevitable16.
Resaltamos que los resultados de nuestro estudio tienen un valor especial, al haber usado como estándares poblacionales curvas de crecimiento intrauterino elaboradas en nuestro centro11,12, y de crecimiento posnatal realizadas en Bilbao por Hernández et al13. Se ha afirmado que una detallada evaluación del patrón de crecimiento posnatal puede ayudar a identificar los niños cuyo crecimiento se aleja de la normalidad y que, por lo tanto, están seguramente expuestos también a una mayor morbilidad en su desarrollo neurosensorial17.
Por otra parte, es importante destacar el bajo número de casos perdidos al seguimiento, por lo que la tasa de seguimiento completo (91,5 %) resulta suficiente para considerar válidos los resultados18. Este bajo porcentaje de pérdidas seguramente es debido a que el seguimiento fue realizado por el mismo neonatólogo que asistió al niño durante su hospitalización. En general, las pérdidas en el seguimiento son atribuidas principalmente a cambios de domicilio, lejanía del hospital, visitas a centros privados, problemas sociales y, raramente, a la negativa de los padres a acudir a las visitas. Las pérdidas en el seguimiento parecen inevitables, si bien nuestras cifras son inferiores a las descritas por otros autores de nuestro entorno19.
Entre las limitaciones del estudio, señalamos que no se recogieron datos sociodemográficos (estatus social familiar, nivel educativo o de ingresos, problemas sociales, etc.), factores que pueden influir en el crecimiento prenatal y posnatal.
Utilizando para definir el fracaso del crecimiento el concepto de 2 DE por debajo el promedio del peso al nacer, el 18,5 % de los RNMBP de la cohorte eran de BPG, cifra similar a las descritas en otras poblaciones3. Sin embargo, esta definición no considera los casos cuyo peso natal no es inferior a 2 DE, pero los fetos no han desarrollado todo su potencial genético de crecimiento. Para resolver este problema, Miller propuso utilizar el índice ponderal15, que es independiente del sexo17, y más sensible que el valor absoluto del peso natal, para identificar los riesgos neonatales relacionados con alteraciones del crecimiento intrauterino17,20. Sin embargo, en nuestra serie el uso del índice ponderal no aportó información adicional alguna sobre la aportada por el índice Z.
Como era de esperar, el peso fue el parámetro más afectado a los 2 años de edad posnatal corregida. En el 37 % de los de menos de 1.000 g el peso permaneció a los 2 años de edad posnatal corregida por debajo de 2 DE de la media de nacidos a término, proporción 3 veces mayor que entre los de mayor peso16. El hipocrecimiento fetal que caracteriza a los BPG condicionó el patrón de crecimiento posnatal de este grupo, como en otros estudios21. Así, a los 2 años de edad posnatal corregida, el peso y la talla todavía no se equipararon al de los PAG, de modo también similar a otros trabajos22. Además, a diferencia de otros estudios, no observamos que el sexo afectara directamente el crecimiento posnatal23.
La valoración de índice Z indicó que el peso no se alcanzó a los 2 años de edad posnatal corregida el valor medio de la población normal de nacidos a término, en ninguno de los subgrupos. Siendo así a pesar de la aceleración del crecimiento que presentaron los BPG, que casi alcanzaron a los de PAG, de modo similar a lo observado en otros estudios20. A los 2 años de edad posnatal corregida, la talla evolucionó de modo similar al peso, con un índice Z inferior a la población normal en ambos subgrupos. El PC fue el parámetro mejor conservado, siendo su aumento estable, lo que produjo el típico aspecto de macrocefalia relativa de los niños que nacieron prematuramente24. Sólo el 8 % presentaba un PC < P3 a los 2 años de edad posnatal corregida, en los de BPG esta tasa era 3 veces superior a los PAG (20,6 % frente al 6 %).
Debe valorarse que los estudios de seguimiento tienen una mayor validez externa, si tienen una base poblacional, es decir, tienen una base geográfica bien definida e incluyen si no a todos, a la mayoría de casos de la zona; lo que estamos realizando en este momento, a través de Grupo de Estudios Vasco-Navarro (GEN-VN) de la Sociedad Española de Neonatología, en el ámbito la Sociedad Vasco-Navarra de Pediatría. Hemos iniciado la recogida de datos de más del 95 % de los RNMBP de Euskadi y Navarra, con un protocolo común de seguimiento25,26.
Finalmente diremos que hay acuerdo sobre la necesidad de un seguimiento prolongado, puesto que es posible que el retraso de crecimiento en peso, y también en talla, se normalice a los 4 años de edad; si bien en un estudio previo de Martín Vargas et al6, nuestro grupo, esto no se confirmó, sino que persistió la desventaja del crecimiento en relación a la población normal; estando significativamente más afectada la población de menos de 1.000 g. De todos modos, hemos iniciado la recogida de datos del programa de seguimiento, ampliándolo hasta los 4 años de edad posnatal corregida.
Recientemente, se ha aprobado el tratamiento con hormona del crecimiento a los BPG, que a los 4 años de edad posnatal corregida siguen con una talla de 2 DE de la población de referencia. La eficacia de este tratamiento ha sido ampliamente demostrada, obteniendo un salto en el crecimiento, que permitir al paciente normalizar la talla adulta. Esta nueva indicación de hormona del crecimiento no parece tener consecuencias metabólicas negativas a largo plazo tenga ni estar asociada a efectos adversos. Este tratamiento llega a normalizar el índice de masa corporal, disminuyendo la presión arterial sistólica y diastólica, así como el índice aterogénico, y no producir efectos adversos en el metabolismo de la glucosa27.
A modo de corolario, diremos que queda por demostrar si sería realmente deseable que los RNMBP, especialmente los de BPG, presentaran una ganancia pondoestatural de tal magnitud, que les hiciera alcanzar a los 2 años de edad posnatal corregida los estándares de los nacidos a término27. Sin embargo, es posible que el hipocrecimiento posnatal actúe de factor de protección frente al riesgo cardiovascular aumentado, como se observa en el estudio de Hertfordshire, donde el peso natal se asoció en forma inversa con mortalidad por enfermedad coronaria y enfermedad cerebrovascular28,29. En el estudio de Barker et al8,9 se obtuvo que la presión arterial sistólica fue más elevada en los niños que presentaron mayor peso a los 4 años de edad posnatal corregida30.
Agradecimientos
Agradecemos a Mercedes Martínez Ayúcar y a Enrique González Molina, neonatólogos del hospital de Txagorritxu (Vitoria/Gasteiz), su colaboración en el estudio, al proporcionarnos los datos de los niños dados de alta de nuestra unidad, y que fueron seguidos en su unidad.
Agradecemos a Kepa Latorre García y Crescen Martínez Ortega, epidemiólogos, su experiencia, ayuda y apoyo en el proceso de la elaboración de este artículo, y a Helena Real Martínez y Edurne de Orbe Gallego, por la ayuda técnica recibida.
										
				








