Introducción
La adolescencia constituye la etapa de mayor riesgo para iniciarse en el abuso de sustancias tóxicas. Este período, marcado por una necesidad de cambio y una posterior consolidación de la propia identidad, está sujeto a múltiples tensiones que inducen a una parte de los adolescentes a introducirse en el camino de las toxicomanías.
Los estudios de prevalencia de tabaquismo han sido numerosos en la última década, y en ellos se ha observado un descenso del hábito tabáquico en el adulto y, sin embargo, un aumento del consumo entre los jóvenes, de los cuales las mujeres son las que más se han incorporado a este hábito nocivo para la salud.
En nuestro país se han realizado estudios en los que se ha observado una mayor incidencia del hábito tabáquico entre los jóvenes con respecto a otros países europeos. Éste ha ido descendiendo desde la década de 1970, pero se ha incrementado en las jóvenes, logrando incluso alcanzar niveles más elevados de consumo que en los jóvenes varones1.
Los trabajos referentes a la prevalencia del hábito tabáquico entre los jóvenes estiman la media de un 20 %, y que este consumo es mayor en el sexo femenino2-4. También se han realizado estudios que tratan de relacionar el hábito tabáquico con la patología respiratoria y el grado de exposición al humo del tabaco. Se ha encontrado que los jóvenes fumadores habituales presentan una mayor incidencia significativa de catarros de vías altas, infecciones de vías bajas y tos crónica, así como un mayor número de días de pérdida de escolaridad al año por patología respiratoria. Se demuestra que los jóvenes fumadores pasivos presentan un mayor número de infecciones de vías bajas por año con relación a los no expuestos al humo del tabaco5,6.
Cook et al7 y Gilliland et al8 encuentran un aumento de síntomas respiratorios asociados con la exposición al humo del tabaco, así como empeoramiento del asma en el niño, y lo relacionan con un aumento en el absentismo escolar.
Por otra parte, con respecto al sexo, se demuestra que las mujeres tienen mayor incidencia de síntomas respiratorios9 y de asma10 que los varones.
Observamos, pues, que la afectación del pulmón por los efectos nocivos del humo del tabaco ha sido ampliamente estudiada, y se ha comprobado que la exposición al mismo origina un aumento de la patología respiratoria. Sin embargo, son escasos los trabajos que investigan los efectos perjudiciales del tabaco sobre la función pulmonar.
Los estudios en la infancia sobre tabaquismo y función pulmonar se han dirigido a investigar la influencia del hábito tabáquico materno durante la gestación y la posterior exposición del niño al humo del tabaco en el domicilio, sobre el desarrollo del pulmón del recién nacido y del niño en edades tempranas de la vida11. Sin embargo, son escasos los trabajos dirigidos a los adolescentes con relación a la posible afectación de su función pulmonar tras exposición al humo del tabaco. En el trabajo de Callén Blecua et al12 se estudia la función pulmonar de niños asmáticos con relación a la exposición al humo del tabaco, y se encuentra que ésta se puede ver influida por el hábito tabáquico de los padres.
El efecto del tabaquismo de los padres ejerce una doble influencia en sus hijos. Por una parte, los induce a ser futuros fumadores al servirles de modelo13 y, por otra, los expone al humo del tabaco de forma continuada, convirtiéndolos en fumadores pasivos.
Con respecto a los adolescentes que se han convertido en fumadores habituales, se ha comprobado un predominio de tos crónica, infecciones respiratorias recidivantes de vías bajas y disminución del rendimiento deportivo14.
Dados los conocimientos actuales, nos planteamos las posibles repercusiones en los adolescentes del hábito tabáquico sobre la función pulmonar, tanto de fumadores activos como pasivos, y sí podríamos encontrar diferencias entre sexos, para posteriormente poder dirigir nuestra intervención sobre este grupo.
Pacientes
Selección de la muestra
Se incluyeron adolescentes procedentes de institutos de enseñanza media de Tenerife, a los que se les explicó la finalidad del estudio y cómo efectuar la espirometría, con el consiguiente consentimiento informado.
Los adolescentes debían reunir una serie de requisitos para ser incluidos en el estudio: no haber sido diagnosticados por un médico de padecer asma bronquial y no haber tenido episodios catarrales en el mes previo a su inclusión en el estudio.
Se investigó sobre la exposición al humo del tabaco en su domicilio y el hábito tabáquico actual del adolescente. En el grupo de fumadores habituales se preguntó la edad de inicio de forma regular, así como el número de cigarrillos consumidos al día.
Espirometría
Se les practicó espirometría basal utilizando espirómetro Datospir-92.
Método
Encuesta
Incluía nombre, edad, sexo, curso escolar, exposición al humo del tabaco y edad de inicio del hábito tabáquico de forma habitual. Se eligieron adolescentes pertenecientes a los siguientes grupos:
1.No fumadores no expuestos al humo del tabaco en el domicilio.
2.Fumadores pasivos expuestos al humo del tabaco en cantidad igual o superior a 10 cigarrillos al día en el domicilio durante el último año.
3.Fumadores activos habituales de 10 o más cigarrillos al día, durante el último año.
Se llevaron a cabo parámetros somatométricos (peso y talla) en báscula SECA y metro rígido de pared, respectivamente, indispensables para la espirometría.
Estudio de función pulmonar: espirometría
Previo a la espirometría, se efectuaba la calibración diaria del Datospir-92, siguiendo las recomendaciones del fabricante y las normativas existentes para pruebas seriadas espirométricas, según la American Thoracic Society (ATS)15 y Sociedad Española de Neumología y Cirugía Torácica (SEPAR)16.
Luego se procedía a la realización de la espirometría. En primer lugar, se explicaba al adolescente el funcionamiento del aparato y las maniobras que tenía que efectuar para la correcta realización de la prueba, con el fin de obtener unos resultados fiables. Se llevaban a cabo pruebas de entrenamiento previo a la realización de la espirometría. Se vigilaba que el comienzo de la maniobra fuera correcto, el esfuerzo respiratorio fuera máximo, que no se produjeran turbulencias al flujo aéreo (tos, risa, etc.), y que tampoco se produjeran deformaciones de la boquilla que pudieran alterar el flujo del aire espirado. Siguiendo las normativas para la espirometría forzada de la ATS15 y SEPAR16, se realizaban un mínimo de tres y un máximo de ocho maniobras de espiración forzada, cuando no se consideraran adecuadas. Por último, los valores obtenidos se comparaban automáticamente con los de referencia calculados según su talla, peso, sexo y edad.
Posteriormente se llevaba a cabo la impresión de los datos para su procesamiento estadístico. Los parámetros espirométricos analizados fueron los siguientes: FVC: capacidad vital forzada; FEV1: volumen espiratorio forzado en el primer segundo; FEV1/FVC: relación entre ambos. PEF: pico de flujo espiratorio; MEF25 %: flujo espiratorio máximo cuando queda en el pulmón el 25 % de la FVC; MEF50 %: flujo espiratorio máximo cuando queda en el pulmón el 50 % de la FVC, y MEF25-75 %: flujo espiratorio máximo entre el 25 y el 75 % de la FVC.
Estudio estadístico
El paquete estadístico utilizado fue el SPSS/PC. Para el estudio comparativo de los grupos, se utilizó el método de desviaciones típicas respecto a la media. Cuando se comparaban más de dos grupos, se utilizaba el análisis de varianza de una sola vía, y también se realizaban comparaciones múltiples utilizando los test de Tukey y Bonferroni.
Resultados
Se estudió un total de 301 adolescentes de ambos sexos, 165 varones (54,5 %) y 136 mujeres (45,5 %), con edades entre 14 y 20 años (16,40 ± 1,32).
La edad media (± desviación estándar [DE]) de la muestra según el hábito tabáquico fue la siguiente:
No expuestos al humo del tabaco16,35 ± 1,24
Fumadores pasivos16,37 ± 1,11
Fumadores habituales17,06 ± 1,27
Según su hábito tabáquico y su grado de exposición al humo del tabaco, los adolescentes se agruparon en:
El 27,2 % de no fumadores, no expuestos al humo del tabaco (NE).
El 31,3 % de fumadores pasivos, expuestos en su domicilio a más de 10 cigarrillos al día al menos durante el último año (FP).
El 41,5 % de fumadores habituales que llevaban fumando 10 o más cigarrillos diarios, al menos durante el último año (FH).
Del grupo de adolescentes FH, el 20,3 % llevaba fumando ≥ 10 cigarrillos/día en el último año, y el 79,7 % fumaba con la misma intensidad durante más de 1 año. La edad de inicio del hábito tabáquico de forma diaria fue de 14,65 años ± 1,17 DE. El primer contacto con el cigarro tuvo lugar a los 11 años.
En la tabla 1 se describen los datos espirométricos obtenidos con relación al hábito tabáquico. En las tablas 2, 3 y 4 se exponen los resultados de la espirometría en relación con el sexo y el hábito tabáquico.
Se encontraron diferencias significativas entre las edades de los jóvenes y su hábito tabáquico (p = 0,0001) (ANOVA). Aplicando los test de comparaciones múltiples obtuvimos que dichas diferencias se encontraban entre el FH con el NE y con el FP, lo que confirma que los adolescentes FH son los de mayor edad. También encontramos una diferencia significativa entre el hábito tabáquico y el sexo, a favor del sexo femenino (mujeres fumadoras habituales: 33,9 %; varones fumadores habituales: 21,8 %) (p = 0,007).
Obtuvimos una relación estadísticamente significativa entre el hábito tabáquico y los siguientes parámetros respiratorios (ANOVA): FVC (p = 0,001), FEV1 (p = 0,0001), FEV1/FVC (p = 0,004), PEF (p = 0,0001), MEF25 % (p = 0,01), MEF50 % (p = 0,0001). Al comparar los grupos individualmente, se obtuvieron las siguientes relaciones significativas (test de Bonferroni y Tukey): el FH en relación con NE: FEV1, PEF, MEF50 %, MEF25-75 % (p = 0,0001) y FVC, FEV1/FVC, MEF25 % (p = 0,01); el FH en relación con FP: FEV1/FVC (p = 0,02), PEF (p = 0,004), MEF50 % y MEF25-75 % (p = 0,003); el FP en relación con NE: FVC y FEV1 (p = 0,02).
En la figura 1 se exponen los valores de FEV1 con relación al hábito tabáquico y en la figura 2, los del MEF25-75 %.
Figura 1. Volumen espiratorio forzado en el primer segundo (FEV1 %) y hábito tabáquico. ns: no significativo.
Figura 2.Flujo espiratorio máximo entre el 25 y el 75 % de la FVC (MEF25-75 %) y hábito tabáquico. ns: no significativo.
No encontramos diferencias estadísticamente significativas en ninguno de los parámetros de función pulmonar estudiados con respecto al sexo, ni en el adolescente NE ni en el FP.
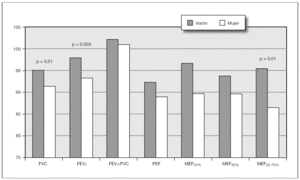
En el grupo de adolescentes FH con respecto al sexo encontramos diferencias estadísticamente significativas en los siguientes parámetros de función pulmonar: FVC, FEV1 y MEF25 -75 % (fig. 3).
Figura 3. Adolescente fumador habitual, función pulmonar y sexo. FEV1: volumen espiratorio forzado en el primer segundo; FVC: capacidad vital forzada; MEF25%: flujo espiratorio máximo cuando queda en el pulmón el 25 % de la FVC; MEF50%: flujo espiratorio máximo cuando queda en el pulmón el 50 % de la FVC; MEF25-75%: flujo espiratorio máximo entre el 25 y el 75 % de la FVC; PEF: pico máximo de flujo espiratorio.
De dichos resultados podemos deducir que la mujer adolescente fumadora con un hábito tabáquico bien establecido, con la misma intensidad y tiempo de duración de hábito que el varón, tiene afectada su vía aérea más precozmente que éste.
Podríamos pensar, por tanto, que en un futuro, estos resultados valorados conjuntamente con el aumento de la incidencia del hábito tabáquico en la mujer podría incrementar la patología respiratoria en el sexo femenino.
Discusión
En los últimos años ha existido un interés creciente por determinar cuál es el daño que se produce en los pulmones del adolescente fumador, puesto que se viene asistiendo a un aumento en la incidencia del tabaquismo en los jóvenes, a pesar de la mayor información existente, y asociado también con el hecho de que cada vez se inician en el hábito a edades más tempranas, cuando aún no se ha finalizado el desarrollo pulmonar.
Nuestros resultados son similares a los referidos en la literatura médica, como en el trabajo de Gold et al17, en el que compararon un grupo de jóvenes fumadores habituales con otro de no fumadores, y encontraron un descenso del MEF25-75 % en el grupo de fumadores. Igualmente, Viegi et al18 estudiaron una población de 3.289 pacientes. Clasificaron a los fumadores según el número de cigarrillos fumados (1-19 al día y ≥ 20 diarios). Encontraron descensos del MEF75 % y del MEF75-85 %. Los valores más bajos correspondían a los fumadores de mayor número de cigarrillos.
Prokhorov et al14 valoraron una población juvenil, con edad media de 17,8 años, en la cual los fumadores consumían una media de 12 cigarrillos diarios. Encontraron un descenso del FVC, PEF y MEF50 % en este grupo, en relación con los no fumadores.
Por otra parte, Jaakkola et al19 evaluaron un total de 1.044 pacientes entre 15 y 40 años. Entre ellos, los fumadores consumían una media de 10 cigarrillos al día, con un tiempo medio de 10 años de hábito y encontraron un descenso del FEV1 de 35 ml con respecto a los no fumadores.
Actualmente se investiga la influencia del hábito tabáquico en la gravedad del asma bronquial. En este sentido, Godtfredsen et al20 realizaron un estudio longitudinal de seguimiento de fumadores que han cesado en su hábito tabáquico y lo relacionaron con el desarrollo de asma. Observaron que aumenta su incidencia al inicio de la suspensión del tabaco y que ésta continúa, aunque en menor grado, a los 5 años del cese del hábito. También en los trabajos de Toren et al21 se valora la presencia de asma en una población joven y la relacionan con el hecho de ser fumador. Encontraron que existe un mayor riesgo de padecer asma bronquial en las mujeres fumadoras. Callén Blecua et al12 observaron que la exposición al humo del tabaco es un factor de riesgo para la gravedad del asma y que estos niños tienen valores más bajos de función pulmonar.
Las repercusiones de la inhalación pasiva del humo del tabaco sobre la función pulmonar han sido menos estudiadas en los adolescentes. La mayoría de los trabajos se refieren a estudios de función pulmonar en fumadores pasivos de menor edad.
A pesar de que los adolescentes conviven menos tiempo con sus padres en el domicilio y, por tanto, la inhalación pasiva del humo del tabaco debiera ser menor, y consecuentemente los efectos perjudiciales del tabaco sobre la función pulmonar también deberían disminuir, en nuestro trabajo encontramos un descenso del FVC y FEV1 en los jóvenes FP en relación con los NE.
Burchfiel et al22 obtuvieron también descensos del FEV1, FVC y del MEF50 % en un grupo de adolescentes entre 10 y 19 años cuyos padres eran fumadores, en relación con los no expuestos. Los recientes trabajos de Venners et al23 sobre función pulmonar en 1.718 niños con edades entre 8 y 15 años, fumadores pasivos de sus padres, encontraron un descenso de FEV1 y FVC en los expuestos al humo del tabaco, y este descenso se incrementaba considerablemente cuando la exposición al tabaco era igual o superior a 30 cigarrillos al día. También Nuhoglu et al24 encontraron un descenso del 5-10 % del FVC, FEV1 y del MEF 25-75 % en un grupo de niños entre 6 y 15 años, fumadores pasivos en el domicilio.
La mujer se ha incorporado recientemente a esta "epidemia tabáquica", y ya en la conferencia Las mujeres y el tabaco: comprender el pasado, cambiar el futuro se puso de manifiesto que el tabaquismo en la mujer era un problema sanitario preocupante en todo el mundo, puesto que se observa un incremento en el consumo del tabaco en la población femenina, que implica un aumento de patologías comunes a la especie humana y específicas del sexo femenino25.
En nuestro estudio, al comparar la función pulmonar de los diferentes grupos de adolescentes con relación al sexo, hallamos un descenso significativo de la FVC, del FEV1 y del MEF 25-75 % en las mujeres FH, con relación a los varones fumadores.
En el estudio de Gold et al17 se realizó un seguimiento durante 15 años, en un total de 5.158 varones y 4.902 mujeres con edades comprendidas entre 10 y 18 años. En las mujeres fumadoras de 5 cigarrillos o más al día, el FEV1 tenía un menor incremento/año, del 1,09 % significativo con respecto a las no fumadoras. En el sexo masculino no fue significativo (FEV1 0,20 %). El MEF25-75 % también tuvo un menor incremento, de 1,25 % y en el varón, del 0,93 % anual, lo que es significativo en ambos. Las jóvenes fumadoras alcanzaron valores máximos de función pulmonar a los 16-18 años, edad en la que todavía no se ha finalizado el desarrollo en los varones. Estos resultados demostraron la mayor repercusión del hábito tabáquico sobre la función pulmonar del sexo femenino, coincidiendo con los datos obtenidos en nuestro trabajo.
Igualmente, Holmen et al26 estudiaron 8.305 jóvenes entre 13 y 18 años, y encontraron que en todas las categorías de fumadores se presentaba mayor número de síntomas respiratorios que en el grupo de no fumadores. Las mujeres presentaban más síntomas respiratorios a igual cantidad de cigarrillos al día fumados, y éstos aumentaban a mayor cantidad de cigarrillos fumados. Se encontró una mayor afectación estadísticamente significativa de la función pulmonar en el sexo femenino de FEV1, MEF50 % y FEV1/FVC.
Asimismo, en los trabajos de Diane et al27 se demuestra en los jóvenes fumadores una obstrucción precoz de la mediana y pequeña vía aérea. Confirman una reducción de los valores espirométricos, sobre todo del FEV1 y de MEF25-75 %, y también una reducción más intensa entre las adolescentes fumadoras.
Recientes trabajos de Rizzi et al28 evalúan a un grupo de adolescentes varones en los que comprueban disminución de los valores espirométricos en los FH, incluso en ausencia de síntomas. De hecho, el 24 % de ellos tenía obstrucción bronquial. Los FP presentaban afectación estadísticamente significativa de la función pulmonar, pero en menor grado que los FH.
Chen et al29 estudiaron a 862 niños y jóvenes, con edades comprendidas entre 6 y 17 años y encontraron que en los FP los valores de función pulmonar se relacionaban con el número de fumadores en la vivienda, y que también el grado de disminución de dicha función era mayor en las mujeres que en los varones.
Por tanto, los estudios realizados demuestran que las mujeres son más sensibles a los efectos dañinos del tabaco que los varones, y experimentan una mayor morbilidad, así como mayor afectación de su función pulmonar. Esta mayor susceptibilidad de las mujeres puede explicarse al menos parcialmente por diferentes hallazgos: porque tienen una mayor respuesta de la vía aérea a las pruebas de provocación bronquial con histamina y/o metacolina y por influencias hormonales, entre otros30,31.
A la vista de los resultados de nuestro trabajo, que coinciden con la mayoría de los referidos en la literatura médica, creemos de vital importancia establecer campañas informativas, de prevención y, cuando sea necesario, de intervención, en todos nuestros preadolescentes y adolescentes, haciendo especial hincapié en el sexo femenino, para evitar que se inicien en el hábito de fumar, y en el caso de estar ya introducidos en él, llevar a cabo las medidas de intervención adecuadas para lograr su total abandono.
Nuestras principales conclusiones son, pues, que los adolescentes FH presentan un descenso significativo de FVC, FEV1, FEV1/FVC, PEF y MEF25-75 % en relación con los NE; los jóvenes FH tienen también descendidos el FEV1/FVC, el PEF y el MEF25-75 % con respecto a los FP; en los FP se aprecia una disminución de FVC y FEV1 con respecto a los NE; los adolescentes del sexo femenino presentan un mayor deterioro de su función pulmonar que los del sexo masculino, y que los pediatras tenemos la obligación de informar y concienciar sobre los efectos perjudiciales del tabaco a los adolescentes y a sus padres, haciendo especial hincapié en el sexo femenino.
Correspondencia: Dra. R.G. Suárez López de Vergara.
Urb. Guajara Delta, 55. 38205 La Laguna. Santa Cruz de Tenerife. España.
Correo electrónico: rgsuarez@comtf.es
Recibido en enero de 2007.
Aceptado para su publicación en septiembre de 2007.









