Introducción
La temperatura térmica neutra es aquella temperatura medioambiental en la cual el recién nacido utiliza la mínima cantidad de energía para mantener la estabilidad térmica 1,2. En condiciones de no termoneutralidad el organismo intenta mantener su temperatura corporal mediante mecanismos que por una parte incrementan la producción de calor y por otra previenen o aminoran su pérdida. Los recién nacidos de extremado bajo peso (RNEBP), aquellos menores de 1.000 g de peso al nacimiento son por sus características anatómicas y fisiológicas los individuos más susceptibles y vulnerables al estrés por frío. Esta vulnerabilidad está determinada por:
1.La ausencia de vérmix caseoso.
2.La relación entre la superficie y la masa corporal.
3.La ausencia o marcada escasez de grasa parda y de reservas de glucógeno.
4.Una epidermis sin estrato córneo así como una dermis fina con pobre fascia subcutánea.
5.Un alto contenido de agua corporal.
6.Por un pobre control vasomotor durante los primeros días de vida 1,2.
Estas características determinan una marcada pérdida de calor, principalmente a través de la evaporación, así como mecanismos termorreguladores ausentes o muy inmaduros 3-6. Estudios aleatorizados y controlados, hace casi 50 años, mostraron que el estrés por frío se asocia con un aumento de la morbimortalidad y con una mayor duración del ingreso hospitalario, en particular en la población de recién nacidos prematuros menores de 1.500 g 7-13.
A pesar de la vulnerabilidad de los recién nacidos prematuros al estrés térmico, son escasos los estudios que han examinado las fluctuaciones de la temperatura corporal que tienen lugar durante procedimientos de cuidado estándar y los disponibles se han centrado principalmente en los mayores de 1.000 g 14,15. Con objeto de conocer mejor la estabilidad en la homeostasis térmica del RNEBP durante intervenciones de cuidado estándar, se realizó un estudio dirigido a examinar los cambios térmicos, así como la magnitud y la duración de estos durante un conjunto de intervenciones agrupadas relacionadas con la higiene del bebé, "el aseo", en una cohorte de RNEBP durante los primeros 13 días de vida.
Pacientes y métodos
Diseño, pacientes y ámbito del estudio
Estudio prospectivo de una cohorte de RNEBP (entre 500 y 1.000 g) ingresados consecutivamente durante un período de 10 meses en la Unidad de Cuidados Intensivos Neonatales del Hospital Universitario La Paz. Para ser incluidos en el estudio, los recién nacidos tenían que cumplir los siguientes criterios:
1. Peso adecuado a la edad gestacional.
2. Sobrevivir al menos una semana.
3. No presentar malformaciones o rasgos dismórficos indicativos de posible enfermedad genética o cromosómica.
Cuidados y acciones
Los recién nacidos fueron atendidos en incubadoras Dräger 8000 SC y Dräger 8000 IC de doble pared según los protocolos de cuidado estándar del servicio. El protocolo estándar para mantener la estabilidad térmica de los RNEBP se muestra en la tabla 1. El conjunto de acciones agrupadas que denominamos "aseo" se establece a partir de las 24 h de vida, dura aproximadamente 15-20 min e incluye además de la pesada del bebé, la limpieza e higiene de la boca, de los ojos, del ombligo y de la piel y se realiza una vez al día según el siguiente protocolo:
1. Medidas previas. Las gasas, las sabanitas y la ropa se introducen en la incubadora al menos 5-10 min antes del aseo con intención de calentarlas. El aseo se inicia cuando la temperatura axilar es igual o superior a 36,5 °C, y se aumenta la temperatura de la incubadora de 1 a 2 °C.
2. Durante el aseo. La limpieza del bebé se realiza con gasas mojadas en agua a temperatura de 40-41 °C y se realiza por partes con secado inmediato de cada zona. La ropa húmeda se retira lo antes posible y las maniobras de aseo se realizan con suavidad y de forma breve.
3. Medidas posteriores. Se evita volver a manipular al niño hasta que no alcance una temperatura axilar igual o superior a 36,5 °C.
Monitorización térmica y registro de la temperatura
La temperatura central (Tc) se monitorizó en el hueco axilar con la sonda de la incubadora Dräger 8000 IC (Thermotrace 1100, Dräger Medical AGF & Co. KgaA), y se fijó a la piel mediante un apósito hidrocoloide fino adhesivo (Confeel plus transparente, Coloplast). Durante la monitorización se tomó al menos 1 a 2 veces la temperatura axilar con un termómetro electrónico (Thermoval basic, Hartmann®) siendo la variación entre ambos sistemas de aproximadamente 0,3 °C. La temperatura periférica (Tp) se monitorizó mediante el canal de temperatura del monitor neonatal (Hewlett-Paackard, HP Viridia 24 C, system M1275A) en la planta de un pie. La sonda se fijó mediante apósito hidrocoloide adhesivo o pegatina reflectante encima. Ambas sondas se comprobaron a intervalos regulares con objeto de asegurar su adecuado contacto con la piel.
Con objeto de conocer los cambios térmicos que tienen lugar como consecuencia del aseo, el registro del período denominado "aseo" comenzó 10 min antes de su inicio real y finalizó a los 180 min de su comienzo. Por otra parte, para examinar la estabilidad térmica durante un período de no manipulación programada período basal, se registraron las temperaturas durante un período de 180 min, siempre durante el turno nocturno. En caso de manipulación durante este período, esta nunca fue superior a 5 min. Durante ambos períodos se monitorizaron de forma continua la Tc y la Tp, y se registraron a intervalos de 10 min durante los primeros 30 min y posteriormente cada 30 min hasta completar un período de registro. Todos los datos basales y los obtenidos durante el aseo fueron registrados en proformas específicas diseñadas para tal fin y además de las temperaturas se registró la frecuencia cardíaca, la presión arterial y la saturación de oxígeno.
Datos generales y morbilidad
Para cada recién nacido incluido en el estudio se recogieron los siguientes datos:
1. Generales. La edad gestacional en semanas cumplidas, el peso, el sexo, la edad en el momento de la evaluación basal y el aseo.
2. Datos sobre la estabilidad fisiológica y la gravedad del estado clínico. En cada evaluación de la estabilidad térmica se registró si el recién nacido estaba en ventilación mecánica, si precisaba fármacos vasoactivos y si estaba o no con fototerapia. Se registró, además, si el bebé presentó alguno de los siguientes problemas durante el ingreso: hemorragia periintraventricular, leucomalacia periventricular, neumotórax, conducto arterioso persistente y sepsis clínica o confirmada bacteriológicamente. A todos los recién nacidos del estudio se les realizó el Score for Neonatal Acute Physiology (SNAP) 16 con los datos más próximos a la evaluación de la homeostasis térmica basal y el aseo.
Autorizaciones y análisis de datos
El estudio contó con la aprobación del Comité de Ética e Investigación del Hospital y además se obtuvo consentimiento escrito de los progenitores. Los datos se analizaron utilizando el programa estadístico SPSS 9.0 (SPSS Inc). La descripción de los datos cualitativos se presenta en forma de frecuencias absolutas y porcentajes, y los datos cuantitativos mediante la media y la desviación estándar. La asociación entre datos cualitativos se realizó mediante la prueba de la ji cuadrado o el test exacto de Fisher. En la comparación de datos cuantitativos entre dos grupos se utilizó el test de la t de Student para datos pareados o el test de Wilcoxon de acuerdo a la distribución de los datos. Todas las pruebas estadísticas se han considerado bilaterales, y como valores significativos, aquellos con una p < 0,05.
Resultados
Durante el período de estudio cumplieron los criterios de inclusión 28 RNEBP, pero dos de ellos fallecieron en las primeras 24 h, quedando constituida la población estudiada por 26 RNEBP. Las características de esta población se muestran en la tabla 2. Entre la primera y la segunda semana se apreciaron cambios significativos respecto a la puntuación promedio del SNAP, la concentración de lactato en sangre y el número de niños que necesitaron ventilación mecánica (tabla 3). Durante el período de estudio, 4 pacientes fueron dados de alta de la unidad de intensivos neonatales, a los 3, 5, 11 y 14 días. Ningún recién nacido falleció durante la primera semana, pero dos lo hicieron durante la segunda semana; a los 10 y 14 días de vida.
Período basal
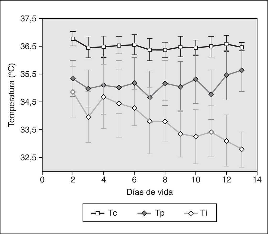
Las temperaturas de la incubadora, así como la Tc y la Tp registradas en el período de monitorización basal, durante los primeros 13 días de vida, se muestran en la figura 1. La temperatura de la incubadora se redujo en 1 °C entre el segundo y el séptimo día y en dos grados por término medio a los 13 días (p < 0,01). A pesar del protocolo de tratamiento térmico, un elevado porcentaje de registros mostraron en algún momento una temperatura axilar inferior a 36,5 °C y una Td > 1 °C, tanto durante la primera semana como durante la segunda (tablas 4 y 5). La presencia y la duración del gradiente térmico superior a 1 °C no se correlacionaron con la puntuación del SNAP, la presencia de DAP, ni con la perfusión de catecolaminas. Sin embargo, una Td > 2 °C estuvo cerca de alcanzar la significación estadística con la perfusión de catecolaminas (23 % sin frente a 48 % con dicha medicación; p = 0,051).
Figura 1. Cambios en la temperatura durante el período basal. Tc: temperatura central; Tp: temperatura periférica; Ti: temperatura incubadora.
Aseo
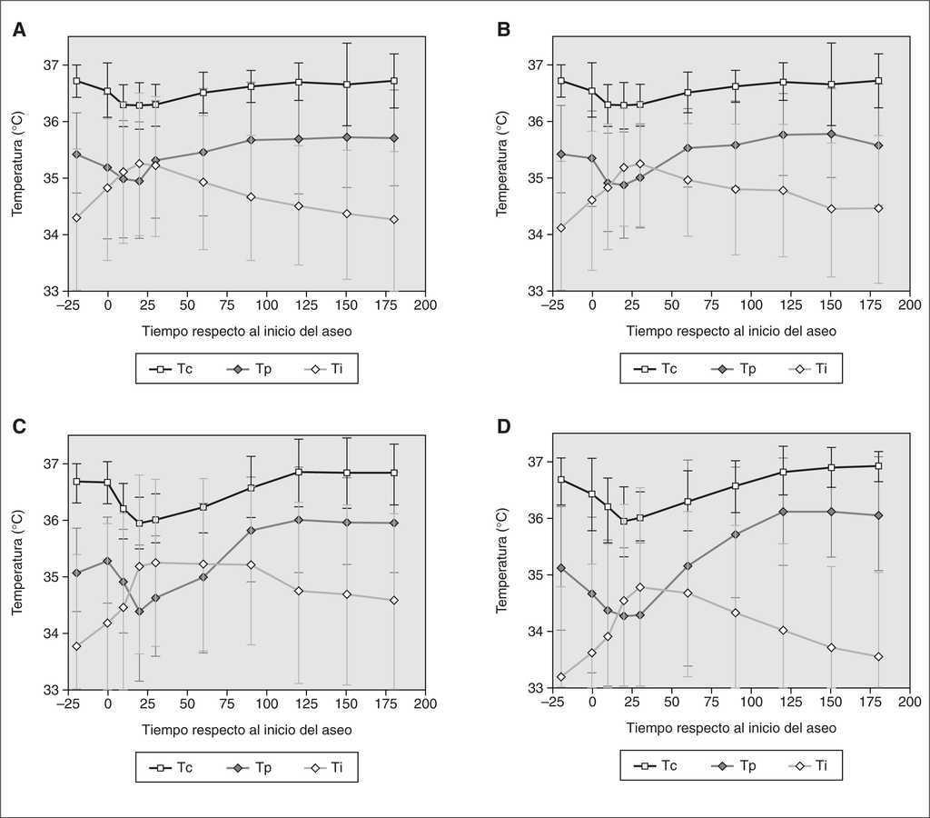
Se supervisaron 134 aseos en la primera semana y 59 en la segunda. A pesar que durante el aseo se incrementó la temperatura de la incubadora casi 3 °C por término medio, la temperatura central y periférica bajaron aproximadamente 1 °C respecto a la temperatura previa al inicio del aseo y también respecto a la del período basal (p < 0,001) (tablas 4 y 5). El aseo causó un descenso de la Tc por debajo de 36,5 °C en el 87,4 % de los registros y por debajo de 36 °C en el 45,5 %. La Tc permaneció inferior a 36,5 °C durante más de una hora por término medio en la primera semana de vida y casi una hora durante la segunda semana (tablas 4 y 5). El aseo conllevó, tanto en la primera como en la segunda semana, una Td > 1 °C durante un período prolongado, significativamente más largo que el observado durante el período basal (tablas 4 y 5). El patrón de cambio en la Tc y la Tp fue similar a lo largo de todo el período de estudio, si bien el descenso de la Tp mostró una clara tendencia a ser más acusada, en particular a los 20 min de iniciado el aseo, durante la segunda semana (fig. 2).
Figura 2.Cambios térmicos durante el aseo:A)a los 2 días de vida;B)a los 3 días de vida;C)al sexto día, yD)al octavo día de vida. Tc: temperatura central; Tp: temperatura periférica; Ti: temperatura incubadora.
Discusión
Este estudio muestra que durante el aseo de los RNEBP tiene lugar un marcado descenso de la temperatura corporal, tanto de la Tc como de la Tp, aun cuando se siguen protocolos estándar dirigidos a evitar o reducir la potencial repercusión de esta acción en la temperatura del recién nacido. Más importante, tras el aseo, el RNEBP permanece con una temperatura diferencial (Td) entre la Tc y la Tp > 1 °C, durante prácticamente una hora y superior a 2 °C durante 30 min por término medio.
El indicador más certero para examinar la estabilidad térmica es la determinación del consumo de oxígeno, medida que permite calcular el gasto energético. Esta determinación utilizada en investigación no es sencilla y además no puede realizarse de forma continua 2. En la práctica clínica, la medición de la Tc es la forma estándar de valorar la estabilidad térmica del recién nacido. Aunque el valor aislado de la Tc sólo señala la capacidad y eficacia del recién nacido para mantener una temperatura particular, la monitorización continua de la temperatura diferencial (Td = Tc Tp) permite valorar si el recién nacido está experimentando estrés térmico 17. La respuesta inicial del organismo al estrés térmico es vasomotora y está dirigida a intentar mantener la temperatura corporal gracias a la vasoconstricción del lecho vascular periférico con la consiguiente centralización de la circulación. Esto condiciona que en situación de estrés por frío, la temperatura corporal se reduce primero en las partes periféricas del cuerpo, mientras que la temperatura central iniciará su reducción un tiempo después si persiste el estrés por frío 4,18. En un estudio realizado en RNEBP, la Tc a la cual los recién nacidos parecían estar confortables fue de 36,8-37,3 °C y la Td (Td = Tc - Tp) fue entre 0,5 y 1 °C 4. De aquí que en los RNEBP, una Td > 1 °C se considere un indicador de estrés por frío.
La Tc se considera un reflejo de la temperatura corporal. Existen pocos datos acerca del rango normal de Tc en RNEBP y este puede diferir según el lugar donde se mida la temperatura. La ubicación donde medir la Tc ha sido muy discutida. En los niños y lactantes se acepta que la temperatura medida en el recto es la más próxima a la temperatura corporal real 18-21. Sin embargo, la temperatura rectal en RNMBP no está exenta de complicaciones como la perforación rectal y la estimulación vagal 22,23, varía ampliamente dependiendo de la longitud de la sonda introducida y, además, la sonda puede salirse con la evacuación de heces, dificultando la monitorización continua 7. La monitorización de la temperatura en la piel del abdomen por encima del hígado es otra ubicación utilizada con frecuencia, pero se ha observado que es habitualmente 0,5 °C menor que la temperatura medida en el área interescapular o axilar y además la ubicación del sensor respecto al hígado puede ser muy variable entre los niños y el registro distorsionado si el recién nacido se encuentra bajo fototerapia 24. La axila es una ubicación óptima para monitorizar la Tc y cuando el brazo está aducto, la temperatura corresponde a una zona con flujo de calor cero, igual que ocurre con la sonda interescapular 24-28. Esta última en cerditos es similar a la temperatura esofágica 27. La axila parece ser la ubicación que menos se encuentra afectada por variables externas, como la temperatura medioambiental, y se considera el lugar idóneo por ser el menos invasivo y con menor coste de tiempo para los cuidadores del recién nacido 29.
Estabilidad térmica durante el período basal
Las temperaturas medioambientales utilizadas en el tratamiento estándar de nuestros pacientes difiere ligeramente de la temperaturas referidas por Sauer et al 2 en 1984 para conseguir un medio térmico neutro en recién nacidos con un peso entre 810 y 1.850 g. Estos autores, mediante la determinación del consumo de oxígeno definieron la neutralidad térmica como la temperatura ambiente a la cual la temperatura corporal en descanso es entre 36,7 y 37,3 °C y la temperatura corporal y cutánea cambian menos de 0,2 y 0,3 °C por hora. Este estudio también mostró que la temperatura ambiente neutra se reduce de manera progresiva con la edad posnatal. En nuestro estudio, la temperatura ambiente fue algo más baja que la señalada para la primera semana en los años ochenta del pasado siglo, si bien utilizamos una humedad relativa más elevada 2. La reducción de la temperatura medioambiental entre el día 2 y el 13 fue similar a la observada por Sauer et al 2 aunque esta reducción se basó en el criterio de los cuidadores y no en una búsqueda rigurosa de la temperatura ambiente neutra. Quizá por ello, aunque durante el período basal la Tc media fue de 36,5 °C, las Td observadas indican que un alto porcentaje de los pacientes pudieron presentar estrés térmico, tanto durante la primera como durante la segunda semana de vida (tabla 5).
Aunque una Td > 1 °C se considera indicadora de estrés térmico, también puede observarse en otras condiciones de estrés, como la perfusión de catecolaminas, el ductus y la sepsis. Nosotros no logramos establecer ninguna correlación entre esas condiciones y la estabilidad térmica, pero una Td > 2 °C fue más frecuente en los recién nacidos con perfusión de catecolaminas y esta asociación estuvo cerca de alcanzar la significación. Dado el escaso número de pacientes es posible que puede existir un error b. Por otra parte, debido a que en un 60 % de los registros con Td > 2 °C no existía evidencia de hipotensión arterial o ni necesitaron perfusión de catecolaminas, otra posible explicación es que los cuidadores prestaron más atención a la Tc que a la Td y, por lo tanto, no se cumplió con rigor el protocolo estándar de cuidado térmico del RNEBP que aconsejaba aumentar la temperatura ambiente en esta circunstancia. De aquí que no es posible saber si el porcentaje de RNEBP con Td > 1 y a 2 °C hubiese diferido de haber utilizado temperaturas medioambientales algo superiores.
Estabilidad térmica durante el aseo
Los escasos estudios que han examinado las fluctuaciones de la temperatura corporal que tienen lugar durante procedimientos de cuidado estándar en recién nacidos prematuros se han centrado principalmente en los mayores de 1.000 g 14,15,30. El estudio más específico examinó los cambios que tenían lugar en la primera semana de vida durante un período de manipulación que podía durar entre 15 a 45 min y que agrupaba diversas intervenciones habituales. La diversidad de procedimientos agrupados, la no especificación de si estaban o no estandarizados y la variable duración del período de manipulación representan importantes limitaciones para la valoración de los cambios en la estabilidad térmica ante procedimientos de cuidado. Es por ello que nosotros escogimos un procedimiento bien estandarizado y de similar duración entre pacientes. Como el aseo no lo realizamos durante las primeras 24 h de vida, nuestros resultados no aportan información sobre este momento particular, durante el cual los RNEBP muestran un pobre control vasomotor y en el cual la monitorización de la Td entre Tc y Tp tiene claras limitaciones para examinar el estrés por frío 4. Los procedimientos habituales de aseo son un componente cotidiano del cuidado neonatal del recién nacido prematuro. Sin embargo, existe muy poca investigación sobre la repercusión en la homeostasis corporal, así como acerca de la periodicidad, momento y forma de realizarlo en estos pacientes. El aseo con gasas mojadas, utilizado en nuestro estudio, es una variante del aseo con esponja, el cual es una práctica sistemática diaria en el cuidado de los prematuros 31,32. Algunos estudios han observado cambios en la saturación de oxígeno, el color de la piel y la conducta durante y después del aseo 31,33, pero otros no han confirmado estos cambios 32. La necesidad de aseo con esponja o gasas mojadas en el prematuro es controvertida y la práctica varía ampliamente entre unidades 34. La ventaja de una periodicidad diaria se ha cuestionado y la frecuencia del aseo con esponja pueden ser reducida sin aumento del riesgo de infección 35. Por otra parte, algunas guías de cuidado señalan que el aseo no es necesario durante los primeros días de vida; 7 a 10 días en los menores de 1.500 g y 14 días en los menores de 800 g 36.
Nuestro estudio aporta evidencia adicional de que el aseo en los RNEBP no es inocuo sobre su homeostasis térmica e ilustra claramente el pobre control de la temperatura corporal que presentan los RNEBP. Además de la magnitud de los cambios, una observación coincidente con observaciones previas es la persistencia de una Td > 1 °C durante períodos prolongados tras una intervención. Esto sugiere que tras el aseo los RNEBP, cuidados en incubadora, permanecen en estrés térmico durante un período prolongado, tanto en la primera como en la segunda semana.
Un aspecto relevante es que la marcada y significativa reducción de la temperatura corporal observada durante y después del aseo, así como el prolongado período con Td > 1 °C, tuvo lugar a pesar de los intentos de reducir el estrés térmico mediante la estandarización de medidas dirigidas a aminorar la pérdida de calor. Esto debe tenerse en cuenta ya que al no ser un estudio ciego a los cambios que acaecían en la temperatura durante el aseo, la magnitud de los cambios pudo ser amortiguada por actitudes activas de calentamiento. Así, aunque el protocolo de aseo establecía un aumento de la temperatura de la incubadora de 1 a 2 °C durante este, en el estudio el incremento fue de casi 3 °C por termino medio. La tendencia observada a una mayor magnitud en el descenso de la Tp durante la segunda semana puede ser debida a la maduración de la respuesta vasomotora al estrés térmico 4. Es preciso señalar que durante el procedimiento no fue posible monitorizar los cambios que tenían lugar en la humedad medioambiental, ni se tomaron medidas tendentes a su aumento.
Algunas limitaciones de nuestro estudio que deben ser consideradas son que no todos los neonatos estaban en el mismo estado de equilibrio térmico al inicio del aseo, y que no fue posible obtener todos los datos puntuales en todos los recién nacidos. Esta limitación, junto al escaso número de recién nacidos estudiados puede limitar el análisis multifactorial para examinar la relación entre morbilidad neonatal aguda y la estabilidad térmica durante el período basal y en el aseo. Aunque estas limitaciones podrían tener un efecto sobre la magnitud del cambio térmico observado, no contradicen los principales hallazgos de este estudio.
En resumen, nuestros resultados enfatizan la necesidad de una estrecha atención a los cambios en la temperatura corporal durante el aseo. Aunque son necesarios más estudios sobre la repercusión de los distintos procedimientos de cuidado y aseo, así como estudios comparativos entre los procedimientos, los marcados y prolongados cambios en la homeostasis térmica observados en el aseo con gasas mojadas, nos lleva a establecer algunas consideraciones prácticas:
1. Cuando se realice el aseo con gasas mojadas, este debería ser realizado tan rápidamente como sea posible, prestando particular atención a la homeostasis térmica y siguiendo un procedimiento bien estandarizado.
2. Creemos que debido a la falta de evidencia de esta necesidad, el aseo con gasas mojadas no debería constituir una rutina durante al menos la primera semana, sino que su realización podría espaciarse de acuerdo a la estabilidad fisiológica del recién nacido y en los más pequeños puede ser suficiente el aseo limitado a aquellas áreas que lo precisan.









