Introducción
Los estándares de crecimiento fetal se utilizan para la identificación del recién nacido cuyo crecimiento se aleja de los patrones normales de crecimiento y que, por tanto está expuesto a una mayor morbilidad y mortalidad durante el período neonatal y en la edad adulta 1,2. El peso, la longitud y el perímetro craneal al nacimiento son los parámetros antropométricos más corrientemente utilizados para valorar el crecimiento fetal. Para que el diagnóstico individual sea efectivo, es imprescindible la comparación con los datos del grupo al que pertenece 3. La amplia variabilidad que muestran los parámetros antropométricos neonatales en relación a factores raciales, genéticos, sociales, estilos de vida maternos y ambientales hacen aconsejables que cada comunidad disponga de sus propias tablas de crecimiento 3,4.
En los últimos años estamos asistiendo a cambios demográficos importantes en nuestro medio debido al fenómeno de la inmigración; como consecuencia, el número de recién nacidos de raza no caucásica está aumentando. El objetivo de este estudio ha sido el de establecer los patrones antropométricos de los recién nacidos a término de raza no caucásica de nuestro entorno y analizar las diferencias antropométricas existentes con respecto a la población autóctona.
Pacientes y métodos
La población evaluada en este estudio incluye recién nacidos sanos de raza no caucásica, producto de gestaciones únicas y controladas de 37 a 42 semanas de gestación, nacidos en Cataluña, hijos de madres sanas, sin hábitos tóxicos ni enfermedades crónicas previas o durante el embarazo y con pertenencia de ambos progenitores al mismo grupo étnico no caucásico. El número de recién nacidos a término (RNAT) incluidos ha sido de 2.444 (1.230 varones y 1.214 niñas) con la siguiente distribución por grupos étnicos: población originaria de África subsahariana (raza negra): 1.257 RNAT (622 niños y 635 niñas), marroquíes: 520 RNAT (297 niños y 223 niñas) y sudamericanos: 667 RNAT (356 niños y 311 niñas). En este último grupo han sido incluidos solamente niños con rasgos fenotípicos no caucásicos: mayoritarios ecuatorianos (587 casos), peruanos (52 casos) y colombianos (24 casos). No se han incluido niños sudamericanos de raza blanca (como argentinos).
Los parámetros antropométricos de los recién nacidos se obtuvieron con carácter prospectivo y por un único investigador en el Hospital Materno-Infantil Vall d'Hebron de Barcelona (44 % de los casos) durante los años 2002-2004, y con carácter retrospectivo a partir de las historias clínicas de los recién nacidos en el Hospital Josep Trueta de Girona (36 % de los casos) y en el Hospital Comarcal de Olot (Girona) (20 % de los casos) entre los años 2003-2004. Las mediciones realizadas en el momento del ingreso en la unidad de neonatología fueron tomadas por diferentes investigadores (enfermeras de la unidad). La colaboración entre centros ha sido imprescindible debido a la distribución territorial dispersa de la población inmigrante. Del total de recién nacidos subsaharianos, el 70 % proceden del Hospital Josep Trueta, el 27 % del Hospital de Olot y el 3 % restante del Hospital Materno-Infantil Vall d'Hebron. Del grupo de recién nacidos de origen marroquí el 79 % proceden del Hospital Materno-Infantil Vall d'Hebron y el 21 % restante del Hospital Josep Trueta. Finalmente, los RNAT sudamericanos proceden mayoritariamente del Hospital Materno-Infantil Vall d'Hebron (96 %); el 4 % restante del Hospital de Olot.
Los parámetros antropométricos evaluados han sido: el peso (g), el perímetro cefálico (cm) y la longitud (cm) de cada recién nacido. En todos los centros colaboradores se han utilizado criterios de selección, metodología e instrumental similar y no se han observado diferencias estadísticamente significativas en la variabilidad intraobservador e interobservador.
El peso fue determinado en las primeras 12 h de vida y la longitud y el perímetro craneal en las primeras 24-48 h de vida posnatal con objeto de evitar errores de medida relacionados con la dificultad de efectuar la extensión máxima de las extremidades inferiores en las primeras horas de vida de los neonatos y de la presencia de tumefacciones y/o edema del cuero cabelludo que pudiesen sobrestimar la lectura del perímetro cefálico en las horas inmediatas al parto. La medida del peso se efectuó con una balanza mecánica Secca® con el rango de lectura de 0,1 a 15 kg y un margen de error de 10 g. La medida de la longitud se efectuó según la técnica habitual en decúbito supino con un estadiómetro Masia® con rango de lectura de 0 a 70 cm y precisión de 0,5 cm. El perímetro cefálico o circunferencia máxima de la cabeza que pasa por la glabela y el opistocráneo (punto más alejado de la glabela en el punto medio sagital) se determinó con una cinta métrica inextensible con precisión de 0,1 mm. La edad gestacional se calculó utilizando la fecha del último período menstrual en las mujeres con ciclos regulares y/o mediante examen ecográfico realizado antes de la semana 20 del embarazo y que estuviesen en concordancia con la fecha de la última regla con variación de ± 1 semana. Para el análisis estadístico se ha utilizado el paquete estadístico SPSS para Windows versión 11.0. Para cada semana de gestación se ha calculado la media y desviación estándar (DE) del peso, la longitud y el perímetro cefálico.
Resultados
El número de RNAT incluidos para cada edad gestacional, los valores de la media aritmética y de la DE de cada uno de los parámetros evaluados con relación al grupo étnico y sexo del RNAT: longitud, peso y perímetro craneal se muestran en la tabla 1.
Los valores de la media del peso, de la longitud y el perímetro craneal de los recién nacidos de raza negra procedentes de África subsahariana son superiores en los niños que en las niñas, observándose diferencias estadísticamente significativas en el peso entre las 39-41 semanas de gestación, en la longitud a partir de la semana 38 de gestación y en el perímetro cefálico entre la 37 y la 41 semanas de gestación. Los valores de la media de los 3 parámetros antropométricos de los RNAT de origen marroquí son superiores en los niños que en las niñas, con diferencias estadísticamente significativas en el perímetro craneal para la semana 38 de gestación, en todos los parámetros evaluados entre la semana 38 y la semana 41 de gestación y finalmente en el peso y el perímetro cefálico a las 42 semanas de gestación. De manera similar, se observa que los valores de los parámetros antropométricos de los RNAT sudamericanos son superiores en los niños con respecto a las niñas. Se observan diferencias estadísticamente significativas en el peso en las edades gestacionales de 38, 40 y 41 semanas, en la longitud entre las semanas 37, 38, 40, 41 y 42 de gestación y en el perímetro cefálico para la edad de 40 semanas de gestación.
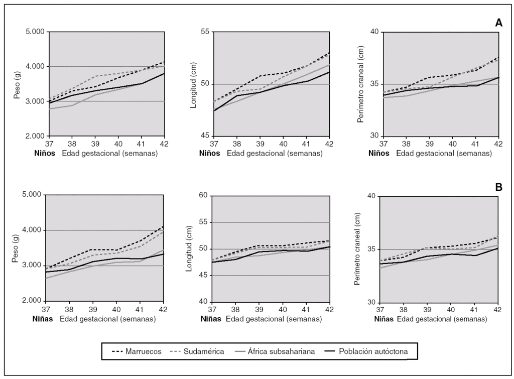
Se han comparado los valores de la media de los parámetros antropométricos de cada grupo étnico con los valores de la población catalana de similar edad de gestación y sexo. Hemos utilizado como referencia las tablas de crecimiento de los recién nacidos publicadas por Carrascosa et al 4. Los resultados se muestran en la tabla 1 y en la figura 1. Los valores de los parámetros antropométricos de la población de raza negra y la población autóctona han sido bastante similares para todas las edades gestacionales estudiadas. En las niñas de raza negra se observaron valores inferiores a los de las recién nacidas de raza caucásica solamente en el peso para la 37 y 39 semanas de gestación y en el perímetro cefálico para las semanas 39 y 41 de gestación. Los niños de raza negra presentan valores inferiores con respecto a los de raza caucásica en el peso a las 38 y 39 semanas de gestación, en la longitud para la edad gestacional de 41 semanas y en el perímetro cefálico para la semana 38 de gestación. En la población de origen marroquí se observan valores superiores de los parámetros antropométricos con respecto a los de raza blanca en ambos sexos. Las diferencias han sido significativas en el peso y la longitud a las 38 semanas de gestación y para todos los parámetros antropométricos a partir de la semana 39 de gestación en las niñas. En los niños, estas diferencias se han observado a partir de la semana 38 de gestación en todos los parámetros antropométricos evaluados. En ambos sexos se constatan valores del peso, la longitud y el perímetro craneal de los recién nacidos sudamericanos superiores con relación a los de raza caucásica. Se observan diferencias estadísticamente significativas para todos los parámetros antropométricos a partir de la semana 38 de gestación en las niñas. En los niños se observan diferencias significativas en la longitud a las 38 semanas de gestación y en todos los parámetros antropométricos a partir de la semana 40 de gestación.
Figura 1. Valores de la media del peso, de la longitud y del perímetro cefálico con relación a la edad gestacional en los recién nacidos de sexo masculino (A) y femenino (B) procedentes de África subsahariana, Marruecos y Sudamérica nacidos en Cataluña. Los datos de los recién nacidos de raza caucásica han sido obtenidos del trabajo de Carrascosa et al 4.
Discusión
En los últimos años estamos asistiendo a importantes cambios demográficos en nuestro medio debido al aumento de la inmigración. La proporción de extranjeros, que alcanzó el 7,02 % del total de la población a 1 de enero de 2004, se ha situado en torno al 8,45 % según las cifras avance del padrón municipal que, por primera vez, publica el Instituto Nacional de Estadística a 1 de enero de 2005. El número de extranjeros representan ya más del 15 % en las Islas Baleares, seguidas por Madrid, Murcia, Comunidad Valenciana, Cataluña y Canarias (con más del 12 % de extranjeros). La comunidad donde se ha producido el mayor aumento de extranjeros durante el año 2004, en términos relativos es Cataluña (con un incremento cercano a los 153.000). El 13,7 % de los nacimientos registrados en España en el año 2004 fueron hijos de madres inmigrantes, de los cuales el 21 % procedían de Marruecos, y el 18 % de Ecuador (avance del padrón municipal a 1 de enero de 2005, datos provisionales).
La existencia de diferencias étnicas, geográficas, socioculturales, económicas, ambientales matizan las curvas de crecimiento fetal, por lo que se recomienda la elaboración de estándares propios que reflejen las características demográficas de cada comunidad 3. La variabilidad de los factores antropométricos raciales, genéticos y estilos de vida familiar hace que la utilización de tablas de crecimiento de la población de recién nacidos de raza caucásica y nacionalidad española no sea extrapolable a la hora de evaluar un recién nacido de otras etnias. Así mismo, se han demostrado diferencias étnicas y raciales del peso en varios estudios desde los años 1960 hasta la actualidad 5. En este sentido, la inmigración a Gran Bretaña desde el Caribe, subcontinente indio y área mediterránea han despertado gran interés con objeto de conocer las influencias que ejercen los factores étnicos y raciales sobre los parámetros antropométricos. Barron y Vassey en un estudio sobre el crecimiento fetal de 5.000 mujeres en el área de Londres observaron la existencia de diferencias significativas en los valores medios del peso al nacer de los hijos de madres londinenses, jamaicanas y chipriotas, diferencias que, según los autores no estarían completamente justificadas por la existencia de diferencias en la clase social, la paridad y los parámetros antropométricos maternos 6. Estudios similares muestran que los parámetros antropométricos de los recién nacidos indios tienen valores medios de peso al nacer inferiores a los europeos. En Israel, en un amplio estudio sobre 15.585 recién nacidos hijos de madres inmigrantes, originarios de África del Norte (Marruecos, Túnez y Egipto), Asia (Irak, Irán, Turquía y Siria) y de América y Europa de raza blanca, los autores demuestran que el grupo de recién nacidos marroquíes presentan valores del peso al nacer superiores con diferencias estadísticamente significativas con respecto a los recién nacidos de madres autóctonas y a los recién nacidos de otros grupos étnicos 7. En el estado de Cleveland (Estados Unidos), Hendrich puso de manifiesto en una amplia muestra de recién nacidos de raza blanca y negra de familias con situación económica similar que los fetos de raza negra tenían mayor peso hasta la semana 35 de gestación. Sin embargo, a partir de esta edad gestacional, los recién nacidos de raza blanca aumentan de peso más rápidamente y nacen con un peso superior al de los recién nacidos de raza negra 8. En España, Alonso et al 9 observan la existencia de diferencias en los parámetros antropométricos de recién nacidos con relación a la raza. En su estudio y sobre una población de 2.575 recién nacidos de madres inmigrantes de origen africano (mayoritariamente de Marruecos y del área centroafricana), sudamericanos (fundamentalmente ecuatorianos, peruanos, colombianos y dominicanos), orientales (chinos, japoneses y filipinos) y europeos (países de Europa menos España), los autores muestran que en todos estos grupos los valores de la media del peso al nacer son mayores con respecto a los recién nacidos españoles en ambos sexos. Entre los grupos de inmigrantes el peso es más elevado en los recién nacidos africanos. Finalmente, en un reciente estudio efectuado en Cataluña, en la comarca del Baix Empordà de Girona, Marqueta et al 10 en un estudio de morbilidad neonatal en una población de 115 recién nacidos de madres marroquíes y de 457 recién nacidos autóctonos observan que los recién nacidos de madre marroquí presentan valores medios de peso superiores con respecto a los recién nacidos autóctonos, y que en un significativo porcentaje de éstos el peso supera el valor de 2 DE 10.
La heterogeneidad de las poblaciones obstétricas con relación a la raza, la edad materna, la paridad, las características antropométricas maternas, el estado nutricional y el estatus socioeconómico materno pone de relieve las dificultades inherentes que tiene la elaboración de patrones de crecimiento intrauterino 3. En este sentido y sin que exista un amplio consenso con relación a la selección de los recién nacidos que se han de incluir en la elaboración de los estándares antropométricos neonatales, parece adecuado incluir solamente los recién nacidos de una misma raza sin malformaciones congénitas mayores o cromosomopatías, que sean producto de gestaciones únicas no complicadas, hijos de madres sin enfermedades crónicas y no expuestas a tóxicos en el transcurso del embarazo y en la que se haya podido establecer con total exactitud la edad gestacional 2,3. Además debe tenerse la altitud geográfica en la que transcurre la gestación, dada la notable influencia que parece tener esta variable sobre los parámetros antropométricos 11,12. En nuestro estudio se han incluido solamente aquellas gestaciones que han transcurrido en Cataluña. Debido a la distribución territorial dispersa de la población inmigrante ha sido imprescindible la colaboración con otros centros hospitalarios. Del número total de recién nacidos el 44 % han sido valorados en el Hospital Materno-Infantil Vall d'Hebron por un único investigador (96 % del número total de los recién nacidos de origen sudamericanos y el 79 % del número total de los recién nacidos de origen marroquí). Dentro del grupo étnico de sudamericanos, caracterizado por gran heterogeneidad racial (mestizos de raza caucásica con poblaciones indígenas) hemos incluido solamente niños con rasgos fenotípicos no caucásicos. No se han incluido niños sudamericanos de raza blanca. Nuestros datos demuestran que los valores de los parámetros antropométricos de los recién nacidos de origen marroquí y sudamericanos son superiores a los de la población autóctona, en todas las edades gestacionales analizadas. Las diferencias con respecto a la raza blanca aumenta con la edad gestacional, siendo estadísticamente significativas para todos los parámetros a partir de las 38 semanas de gestación en los niños de origen marroquí y las niñas sudamericanas, a partir de las 39 semanas de gestación en los niños de origen marroquí, y a partir de las 40 semanas de gestación en los niños sudamericanos. Sin embargo, los valores de los parámetros antropométricos de los recién nacidos de raza negra son similares con los de raza blanca en ambos sexos. No se ha observado de forma uniforme la existencia de dimorfismo sexual, aunque, los 3 parámetros antropométricos son superiores en los niños con respecto a las niñas en todas las edades gestacionales analizadas pero diferencias significativas se han encontrado de manera esporádica, aspecto que puede ser relacionado con el número limitado de casos.
En nuestros datos, sólo hemos presentado los valores de la media aritmética y de la DE para cada uno de los parámetros antropométricos evaluados. Debido al número limitado de casos sobre todo en las edades gestacionales extremos (37 y 42 semanas de gestación) no hemos considerado fiable el análisis de la distribución percentilada de los datos. La media y DE son imprescindibles a la hora de valorar el crecimiento intrauterino ya que el retraso de crecimiento intrauterino se define como aquella situación en la que el peso y/o la longitud al nacimiento son inferiores a 2 DE de los valores de la media 13,14. Los patrones antropométricos obtenidos, aunque mejorables, permiten una valoración correcta del crecimiento fetal de los recién nacidos de raza negra, de origen marroquí y sudamericanos. Los patrones de crecimiento intrauterino deben actualizarse periódicamente debido a las influencias de los cambios sociales, económicos, de los estilos de vida y hábitos nutricionales maternos sobre las características antropométricas de los recién nacidos 7. Hasta la fecha, no nos ha sido posible comparar nuestros datos con datos similares del país de origen de los grupos étnicos estudiados por no hallarse reflejados en la literatura médica.
En resumen, se presentan los patrones de crecimiento intrauterino de los recién nacidos de 37-42 semanas de gestación de raza no caucásica y procedentes de África subsahariana, Marruecos y Sudamérica. Los valores de parámetros antropométricos de los recién nacidos de origen marroquí y sudamericanos son superiores a los de la población autóctona. Los parámetros antropométricos de los recién nacidos de raza negra son similares a los de la población española. La variabilidad de los factores antropométricos raciales, genéticos y estilos de vida familiar hace que la utilización de tablas de crecimiento de la población de recién nacidos de raza caucásica y nacionalidad española sea impropia para evaluar un recién nacido de otras etnias. Todo ello, justifica la necesidad de un seguimiento de la población inmigrante en nuestro país aumentando la casuística de las etnias estudiadas así como de otros grupos de inmigrantes cuyo número está aumentando.
Agradecimientos
Los autores quieren expresar su agradecimiento a todas las enfermeras del servicio de Neonatología del Hospital Materno-Infantil Vall d'Hebron, del Servicio de Pediatría del Hospital de Olot y del Servicio de Neonatología del Hospital Josep Trueta de Girona por su colaboración en la realización de este estudio.
Correspondencia: Dr. D. Yeste.
Servicio de Pediatría y Endocrinología Pediátrica.
Hospital Materno-Infantil Vall d'Hebron.
P.º Vall d'Hebron, 119-129. 08035 Barcelona. España.
Correo electrónico: dyeste@vhebron.net
Recibido en enero de 2006. Aceptado para su publicación en agosto de 2006.




