Introducción
La presión positiva en la vía aérea proporcionada por la ventilación mecánica, ha sido un avance muy importante en el tratamiento de enfermos con insuficiencia respiratoria en las unidades de cuidados intensivos pediátricos (UCIP). Este hecho se ha puesto de manifiesto en una reducción importante de la mortalidad. No obstante, la utilización de presiones positivas, volúmenes corrientes y concentraciones de oxígeno elevadas (fracción inspiratoria de oxígeno [FiO2]), pueden provocar un daño sobreañadido al parénquima pulmonar 1,2.
En nuestro país se está utilizando desde hace varios años un tipo de ventilación alternativa a la convencional, denominada ventilación de alta frecuencia oscilatoria (VAFO) 3,4, cuyo objetivo fundamental, además de conseguir un adecuado intercambio gaseoso, es minimizar el daño pulmonar inducido por el respirador. En la actualidad, no existe suficiente evidencia científica que demuestre una reducción de la mortalidad de los niños con fallo respiratorio agudo hipoxémico (FRAH) o síndrome de dificultad respiratoria del adulto (SDRA) tratados con VAFO 5,6. Sin embargo, hay algunos trabajos con suficiente rigor científico que ponen de manifiesto una mejoría en los índices de oxigenación y, por tanto, un mejor pronóstico de pacientes ventilados con VAFO en comparación a otros tratados con ventilación convencional 3,7-9.
El objetivo principal de este estudio ha sido analizar nuestra experiencia con la VAFO desde que empezamos a utilizarla en niños ingresados en nuestra UCIP con FRAH.
Pacientes y métodos
Tipo de estudio y criterios de inclusión
Se ha realizado un estudio prospectivo y observacional de niños con distintas edades y pesos ingresados en nuestra UCIP y diagnosticados de FRAH y/o barotrauma, que fueron sometidos inicialmente a ventilación convencional y posteriormente a VAFO, en un período comprendido entre agosto de 2003 y julio de 2005.
La indicación de la VAFO fue la imposibilidad de ventilar al paciente con la ventilación convencional y se basó en los siguientes criterios:
1. En relación al diagnóstico: a) fallo respiratorio agudo hipoxémico; b) barotrauma pulmonar con un grado de severidad igual o mayor que 1, según la escala Gross Airleak Score8. Ambos diagnósticos no fueron excluyentes entre sí.
2. En relación a las pruebas complementarias para el diagnóstico de FRAH y/o barotrauma, se tuvieron que cumplir uno o ambos de los requisitos siguientes: a) un índice de oxigenación (IO = presión media en la vía aérea (Paw) x FiO2 x 100/presión parcial arterial de oxígeno [PaO2]) mayor de 13, en una sola determinación antes del inicio de la técnica; b) evidencia radiográfica de barotrauma.
Número de pacientes y estrategias de ventilación
Se incluyeron en el estudio 11 niños; todos fueron tratados con VAFO (3100®, A y B, SensorMedics, Yorba Linda, CA) tras un período variable de ventilación convencional (Servo 900C R o 300). Los niños supervivientes pasaron luego a ventilación convencional, una vez se cumplieran los requisitos que se exponen más adelante.
Los padres de los niños, o en su caso el representante legal, firmaron el consentimiento informado para la realización de la técnica, y el protocolo de estudio fue valorado y admitido por los Comités de Investigación y/o Ética de nuestro hospital.
El manejo de la ventilación convencional se basó en una estrategia protectora pulmonar y de reclutamiento alveolar, consistente en presiones positivas al final de la espiración (PEEP) elevadas y tiempos inspiratorios prolongados, para conseguir así una elevación de la Paw y una reducción de los picos de presión inspiratorias. Además se utilizaron volúmenes corrientes pequeños (6-8 ml/kg) y frecuencias respiratorias elevadas.
Con la VAFO el objetivo inicial que conseguir fue obtener un volumen pulmonar óptimo mediante una estrategia de rápido reclutamiento alveolar, como ha sido descrito por otros autores 9. Para ello, se programó el respirador con una FiO2 de 1,0; una frecuencia de oscilación de 5 a 10 Hz; un tiempo inspiratorio del 33 %; una Paw de 4 a 8 cmH2O mayor que la requerida previamente con ventilación convencional; un flujo de gas de 20 l/min; y una amplitud de oscilación (ΔP) necesaria para conseguir un adecuado movimiento del tórax. En los casos con barotrauma, la Paw se programó igual que con ventilación convencional, para no incrementar la fuga aérea. La hipoxemia persistente después de instaurada la técnica, se trató aumentando el volumen pulmonar mediante incrementos progresivos de la Paw en 1 a 2 cmH2O, hasta conseguir una saturación arterial de oxígeno (SaO2) ≥ 90 % con una FiO2 ≤ 60 %, o hasta que aparecieran signos de inestabilidad hemodinámica o de sobredistensión pulmonar. Para evitar ésta, se realizó radiografía de tórax y se ajustó la expansión de ambos campos pulmonares a nivel de la 8.ª-9.ª costillas. Una vez obtenida una SaO2 ≥ 90 % con una FiO2 ≤ 60 %, una PaO2 ≥ 60 mmHg, y un pHa (pH arterial) ≥ 7,25, se descendió muy lentamente la Paw de 1 en 1 cmH2O hasta conseguir una Paw de 15 cmH2O, una FiO2 ≥ 40 %, y una ΔP < 40 cmH2O, momento en el que se pasó a ventilación convencional para continuar luego con el proceso de retirada del respirador.
Antes del inicio de la técnica y con el objetivo de optimizar el estado hemodinámico, se administró expansores de la volemia para conseguir una presión venosa central (PVC) ≥ 5 mmHg, y una perfusión de dopamina para conseguir una presión arterial media (PAM) ≥ 50 mmHg.
Evaluación de los pacientes y variables analizadas
Inmediatamente antes de iniciar la VAFO, se realizó una evaluación del estado clínico de los pacientes mediante una serie de escalas, junto a un análisis de parámetros ventilatorios, hemodinámicos y gasométricos (tabla 1). Se utilizó la escala Pediatric Risk of Mortality (PRISM), como indicador general de mortalidad; la de Murray 10(Lung Injury Score), para determinar el grado de afectación pulmonar; y la que analiza el grado de escape aéreo (Gross Airleak Score)8, en los casos que presentaban barotrauma. También se estudió el intercambio gaseoso pulmonar y el estado hemodinámico mediante el análisis de una serie de variables, como FiO2, la Paw, la PaO2, la SaO2, la presión parcial arterial de dióxido de carbono (PaCO2), el pH arterial (pHa), el cociente respiratorio (PaO2/FiO2), el índice de oxigenación (IO), la PAM y la PVC. Todas ellas se volvieron a determinar a la hora, a las 3 h, a las 12 h, a las 24 h, a las 48 h, a las 72 h; y, por último, se hizo una determinación previa al paso a ventilación convencional.
Se elaboró una base de datos con la intención de realizar un análisis estadístico que permitiera determinar si las variaciones producidas en las sucesivas determinaciones de las distintas variables fueron significativas.
Análisis estadístico
Debido a que las variables cuantitativas no seguían una distribución normal tras aplicar el test de Kolmogorov-Smirnov, se representaron mediante la mediana y el rango intercuartílico. La comparación de variables cuantitativas según grupos de estudio se realizó mediante la U de Mann-Whitney. Para comparar las variaciones en el tiempo de los diferentes parámetros estudiados usamos el test de Friedman. El nivel de significación se estableció en p < 0,05. Todos los análisis estadísticos se realizaron el con paquete SPSS 13.0 para Windows.
Resultados
La edad y el peso de los niños fueron de 2,5 años (0,3-11) y 8 kg (6-19). De los 11 niños tratados, seis presentaban una inmunodeficiencia secundaria en el curso evolutivo de enfermedades oncológicas o hematológicas, y cinco eran niños con un sistema inmunológico normal. Todos los niños pertenecientes al primer grupo presentaron un SDRA, en cinco de ellos causado por una neumonía, y en uno no se logró identificar el agente etiológico, desarrollando este último un barotrauma provocado por la ventilación convencional. De los 5 niños con inmunidad normal, en tres la causa del FRAH fue un síndrome de escape aéreo inducido por la ventilación convencional, en dos de ellos precipitado por una neumonía. En los dos restantes, el FRAH lo produjo un SDRA provocado por una neumonía.
Las escalas de gravedad de PRISM y la de daño pulmonar de Murray demostraron unos valores de 13 [5-16] y 2,3 [1,6-3], respectivamente. La valoración del barotrauma mediante el Gross Airleak Score determinó que 2 niños presentaban grado 2, uno grado 1 y uno grado 4.
Antes del inicio de la VAFO se hizo un estudio de una serie de parámetros gasométricos (PaO2, SaO2, PaCO2, PaO2/FiO2) y del IO, como viene reflejado en la tabla 1. Con este análisis gasométrico se puso de manifiesto un importante grado de hipoxemia en nuestros pacientes.
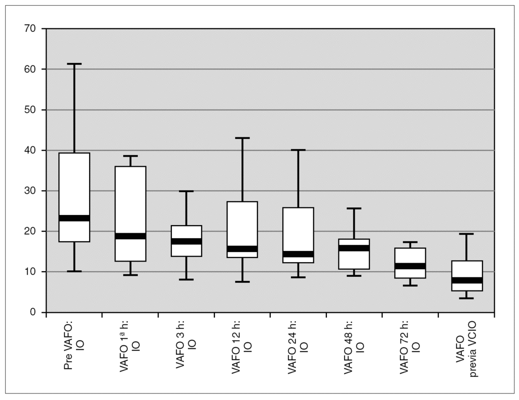
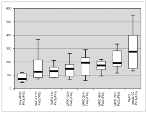
Una vez instaurada la VAFO, se obtuvieron un descenso estadísticamente significativo en la FiO2 (p < 0,001), en la Paw (p < 0,001) (fig. 1) y en el IO (p < 0,001) (fig. 2); y un incremento también significativo, en la SaO2 (p < 0,05), en la PaO2 (p < 0,05), y en la PaO2/FiO2 (p < 0,05) (fig. 3). Sin embargo, no se consiguieron variaciones con valor estadístico en el pHa, en la PaCO2, en la PAM y en la PVC.
Figura 1.En los niños ventilados con VAFO, se observa un descenso progresivo de la Paw (presión media en la vía aérea). Pre VAFO: medición de la Paw antes del inicio de la técnica; VAFO previa VC: medición realizada antes del paso a ventilación convencional. El valor se expresa con la mediana y el rango intercuartílico, además se especifica el valor máximo y el mínimo para cada medida.
Figura 2.En los niños ventilados con VAFO, se observa un descenso progresivo del IO (índice de oxigenación). Pre VAFO: medición del IO antes del inicio de la técnica; VAFO previa VC: medición realizada antes del paso a ventilación convencional. El valor se expresa con la mediana y el rango intercuartílico, además se especifica el valor máximo y el mínimo para cada medida.
Figura 3.En los niños ventilados con VAFO, se observa un ascenso progresivo de la relación PaO2/FiO2 (cociente respiratorio). Pre VAFO: medición de la PaO2/FiO2 antes del inicio de la técnica; VAFO previa VC: medición realizada antes del paso a ventilación convencional. El valor se expresa con la mediana y el rango intercuartílico, además se especifica el valor máximo y el mínimo para cada medida.
En la tabla 2 queda reflejada la mortalidad, la estancia en UCIP y el tiempo de ventilación.
Discusión
La lesión pulmonar inducida por la ventilación convencional es debida a presiones y volúmenes de ventilación excesivos, con el peligro de que pueda producirse una rotura alveolar y el consiguiente escape aéreo hacia el mediastino o hacia la cavidad pleural (neumotórax). En pacientes ventilados, la presión positiva hace que el escape aéreo aumente y pueda precipitar un neumotórax a tensión con grave deterioro respiratorio y hemodinámico 11. En nuestra serie, de los 4 niños con barotrauma grave tratados con VAFO, dos padecían una neumonía complicada con un neumotórax a tensión producido por la ventilación convencional. Tras la instauración de la VAFO, se llegó a controlar el escape aéreo en todos los casos, falleciendo sólo uno que presentaba asociado un SDRA. La utilidad de la VAFO, en el barotrauma grave que requiere ventilación, está justificada porque con ella la transmisión de la presión positiva desde la tráquea al alvéolo es mínima 12,13, evitándose así los picos de presión que aumentan y favorecen la fuga aérea.
En la actualidad se están desarrollando estrategias ventilatorias basadas en la utilización de VT bajos (6 ml/kg), presiones al final de la espiración (PEEP) altas (16 cm H2O), y frecuencias respiratorias elevadas, con el objetivo de minimizar en lo posible el daño pulmonar. Es lo que se denomina ventilación protectora pulmonar, con ella se ha conseguido un aumento en la supervivencia, una mayor facilidad para retirar la ventilación, y una menor incidencia de barotrauma en pacientes con SDRA 14,15. La VAFO debido a sus características, puede considerarse un tipo de ventilación protectora pulmonar 7. En ella se le proporciona al paciente volúmenes corrientes muy reducidos, inferiores al espacio muerto pulmonar, a unas frecuencias respiratorias muy por encima de las fisiológica, evitando de esta manera los picos de presión y los volúmenes corrientes excesivos. Posee la peculiaridad de que la espiración es activa, lo cual facilita la eliminación de dióxido de carbono 12.
Los resultados de nuestro estudio demuestran que con la VAFO se logró un aumento en el nivel de oxigenación, puesto de manifiesto por un ascenso en la SaO2, en la PaO2, y en la relación PaO2/FiO2. Así mismo, al mejorar la oxigenación, permitió ir reduciendo de forma progresiva la FiO2 y la Paw, y como consecuencia del descenso de ambas, fue reduciéndose el IO. Ni la PaCO2 ni pHa variaron significativamente en las sucesivas determinaciones realizadas, pero siempre se mantuvieron en cifras aceptables. Este hecho puede estar relacionado con nuestra actitud de permitir una PaCO2 ligeramente elevada, con la condición de que no se produjera una acidosis respiratoria, es lo que se denomina hipercapnia permisiva.
El aumento de la oxigenación con la desaparición de la hipoxemia, fue a nuestro criterio el responsable de la elevada supervivencia de los niños tratados con VAFO. Este hecho se consigue a través de un incremento en la Paw, manejando cifras más altas que con ventilación convencional (super-PEEP), consiguiéndose así un reclutamiento de alvéolos previamente colapsados, un aumento en el volumen pulmonar y un incremento en el intercambio de oxígeno 16. La terapia asociada con óxido nítrico incrementa el nivel de oxigenación 17, esto se debe a que al producir vasodilatación de zonas previamente expandidas con la VAFO, se logra mejorar la relación ventilación/perfusión.
Hemos de destacar que en nuestra serie, no se constató un deterioro hemodinámico tras la instauración de la VAFO, comprobado mediante el análisis de los valores de PAM y de la PVC, los cuales no sufrieron variaciones significativas, como quedó reflejado en los resultados.
Aunque la mortalidad continúa elevada en FRAH, en los últimos años hemos asistido a una mayor supervivencia 18, debido probablemente a la utilización de nuevas terapias y modalidades de ventilación 15. Entre ellas, la VAFO ha demostrado frente a la ventilación convencional, que es capaz de mejorar los IO arterial 7-9. La elevada supervivencia obtenida en nuestros niños con FRAH ventilados con VAFO, nos ha inducido a considerarla como la técnica de elección en estos pacientes, cuando se constate una hipoxemia grave en una sola determinación de un IO ≥ 13. De esta forma, y como describen también otros autores 19, indicamos la técnica de forma precoz, para evitar la progresión del daño pulmonar provocado por la propia enfermedad, y el que se añade por la ventilación convencional.
La experiencia actual con este tipo de ventilación es reducida, no existiendo en la actualidad suficientes ensayos clínicos aleatorizados que avalen su recomendación con la necesaria evidencia científica 5,6. Por este motivo, hay autores 20 que no la consideran aún como una importante opción terapéutica. El único ensayo clínico prospectivo y aleatorizado realizado en niños fue publicado por Arnold et al 8, y en él se demuestra la superioridad de la VAFO sobre la ventilación convencional en mejorar los índices de oxigenación. En la actualidad, es una realidad que en todos los países, la VAFO se está incorporando al arsenal terapéutico de las UCIP, por los buenos resultados clínicos que con ella se están consiguiendo 3,8. Para su recomendación definitiva, se necesitan más ensayos clínicos que clarifiquen con la suficiente evidencia científica sus indicaciones.
Creemos que nuestra experiencia con la VAFO apoya el hecho de que en niños con FRAH, mejoran de forma significativa los parámetros referentes al grado de oxigenación. Igualmente la VAFO ha resultado efectiva en el tratamiento del síndrome de escape aéreo grave inducido por la ventilación convencional.
Agradecimientos
A todo el personal de la UCIP, por su encomiable labor en el cuidado de estos niños.
Correspondencia: Dr. J.A. García Hernández.
Ruiseñor, 5, portal 3, 3.º B. 41010 Sevilla. España.
Correo electrónico: garcier@wanadoo.es
Recibido en octubre de 2005.
Aceptado para su publicación en febrero de 2006.


